М
Молодежь
К
Компьютеры-и-электроника
Д
Дом-и-сад
С
Стиль-и-уход-за-собой
П
Праздники-и-традиции
Т
Транспорт
П
Путешествия
С
Семейная-жизнь
Ф
Философия-и-религия
Б
Без категории
М
Мир-работы
Х
Хобби-и-рукоделие
И
Искусство-и-развлечения
В
Взаимоотношения
З
Здоровье
К
Кулинария-и-гостеприимство
Ф
Финансы-и-бизнес
П
Питомцы-и-животные
О
Образование
О
Образование-и-коммуникации
nushales
nushales
11.11.2021 06:53 •  Математика

Подскажите как решить : вставьте числа. 3/9=/6

👇
Ответ:
dianavolk00
dianavolk00
11.11.2021
Капоте вот: неизвестное число возьми за Х , тогда х=3 Х 6 : 9 = 2
4,4(25 оценок)
Ответ:
Alina228321234
Alina228321234
11.11.2021
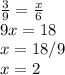
\frac{3}{9} = \frac{x}{6} \\ 9x=18 \\ x=18/9 \\ x=2
4,8(100 оценок)
Открыть все ответы
Ответ:
DILLERONLOLOLOSHKA
DILLERONLOLOLOSHKA
11.11.2021

Школьные Знания.com

Какой у тебя во классы Математика 8+4 б

Придумать какое либо событие с экспериментами. По данному событию составить таблицу( в эксперименте должны приникать участие мин 5 человек) вычислить всю частоту которую можно будет найти из вашей таблицы.

Emirasylbek06 1 минута назад

По больше объяснений Следить Отметить нарушение

ОТВЕТИТЬ

ответы и объяснения

emirasylbek06 ждёт твоего решения.

ответь на во и заработай баллы.

Seriosboy

SeriosboyСереднячок

Дано: СИ

h = 20 см 0,20 м

L = 50 см 0,50 м

F тяжести = 3 Н

F тяги = 2 Н

А полез - ?

А соверш - ?

КПД - ?

Решение.

1)

Формула механической работы:

A = F·S

2)

Полезная работа:

А полез = F тяжести·h = 3·0,20 = 0,60 Дж

3)

Совершенная работа:

А соверш = F тяги·L = 2·0,50 = 1,00 Дж

4)

Коэффициент полезного действия:

КПД = А полез · 100% / А соверш

КПД = 0,60*100%/1,00 = 60%Школьные Знания.com

Какой у тебя во Дано: СИ

h = 20 см 0,20 м

L = 50 см 0,50 м

F тяжести = 3 Н

F тяги = 2 Н

А полез - ?

А соверш - ?

КПД - ?

Решение.

1)

Формула механической работы:

A = F·S

2)

Полезная работа:

А полез = F тяжести·h = 3·0,20 = 0,60 Дж

3)

Совершенная работа:

А соверш = F тяги·L = 2·0,50 = 1,00 Дж

4)

Коэффициент полезного действия:

КПД = А полез · 100% / А соверш

КПД = 0,60*100%/1,00 = 60%

ответ : 60%

4,8(16 оценок)
Ответ:
Violetta2004w
Violetta2004w
11.11.2021
1 задача.
Первый кусок примем за 1 часть, тогда второй кусок получается 4части.
1) 4 - 1 = 3 (части), которые составят 18см
2)18 : 3 = 6(см)  составит одна часть, или первый кусок
3) 6 * 4 = 24(см) -длина второго куска.
4) 24 + 6 = 30(см)
ответ: 30см - первоначальная длина верёвки.
2 задача.
Схема:      к    к     к     к     к     к         расстояний между кольцами - 5 штук
                          120 см
Решение:
1) 1м20см = 120см
     120 : 5 = 24(см) - расстояние между кольцами
ответ: 24 см надо оставить между кольцами.
4,6(4 оценок)
Это интересно:
Новые ответы от MOGZ: Математика
logo
Вход Регистрация
Что ты хочешь узнать?
Спроси Mozg
Открыть лучший ответ