М
Молодежь
К
Компьютеры-и-электроника
Д
Дом-и-сад
С
Стиль-и-уход-за-собой
П
Праздники-и-традиции
Т
Транспорт
П
Путешествия
С
Семейная-жизнь
Ф
Философия-и-религия
Б
Без категории
М
Мир-работы
Х
Хобби-и-рукоделие
И
Искусство-и-развлечения
В
Взаимоотношения
З
Здоровье
К
Кулинария-и-гостеприимство
Ф
Финансы-и-бизнес
П
Питомцы-и-животные
О
Образование
О
Образование-и-коммуникации
wanecow01
wanecow01
30.01.2021 22:50 •  Математика

Из пункта а в пункт в велосипедист проехал по одной дороге длиной 27 км, обратно возвращался по другой дороге, которая была короче первой на 7 км. хотя на обратном пути велосипедист уменьшил скорость на 3 км/ч, он все же на обратный путь затратил времени на 10 мин меньше , чем на путь из а в в. с какой скоростью ехал велосипедист из а в в?

👇
Ответ:
nvvasilap09s3i
nvvasilap09s3i
30.01.2021
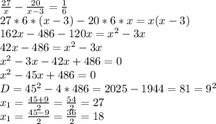
Пусть скорость из А в В будет Х, тогда обратная скорость будет Х-3.
Туда дорога 27 км, а обратно 27-7=20 км.
Время прямой поездки 27/х, а обратной 20/(х-3).
10 минут это 10/60 часа = 1/6 часа
Составим уравнение:
\frac{27}{x}- \frac{20}{x-3}= \frac{1}{6}\\
27*6*(x-3)-20*6*x=x(x-3)\\
162x-486-120x=x^2-3x\\
42x-486=x^2-3x\\
x^2-3x-42x+486=0\\
x^2-45x+486=0\\
D=45^2-4*486=2025-1944=81=9^2\\
 x_{1}= \frac{45+9}{2}= \frac{54}{2}=27\\
 x_{1}= \frac{45-9}{2}= \frac{36}{2}=18

Возможно два варианта: 18 или 27 км/ч
4,6(20 оценок)
Открыть все ответы
Ответ:
Kunizhevajenya
Kunizhevajenya
30.01.2021
Dа = 18 ми
Dв-?
1) Lа = пDа - длина окружности большой монетки.
2) 2•Lа - длина пути, проделанной меткой на большой монетке, совершившей 2 оборота.
3) Lв = пDв
Меньшая монетка должна для того, чтобы метки совпали, совершить также полное число оборотов. То есть число оборотов должно быть натуральным числом к, причем к>2,
2•Lа = к•Lв
2пDа = кпDв
Число п в обеих частях уравнения можно сократить.
2Dа = кDв
Dв = 2Dа/к
Рассмотрим случаи, когда количество оборотов малой монетки к= 3; 4; 5:
Dв1 = 2•18/3 = 12 мм - первый возможный диаметр монетки в.
Dв2 = 2•18/4 = 9 мм - второй возможный диаметр монетки в.
Dв3 = 2•18/5 = 7,2 мм - третий возможный диаметр монетки в. Но такой диаметр монетки вряд ли возможен.
ответ: 12 мм или 9 мм.
4,4(49 оценок)
Ответ:
Manya081505
Manya081505
30.01.2021
Да,можно назвать т.к ребёнок родился слепым. Страшное несчастье, самое страшное, какое только может быть. И так как его слепота неизлечима, Пётр Попельский, казалось, обречён на несчастную жизнь.«Моя жизнь наполнена одной слепотой, - говорит он. - Никто не виноват, но я несчастнее всякого нищего» . Он стал злым и раздражительным эгоистом. «Та самая рука, которая лишила меня зрения, когда я ещё не родился, и вжила в меня эту злобу… » Физическая слепота соединилась со слепотой духовной, когда человек ничего не видит и не хочет видеть, кроме себя.Но Пётр прозрел. Он не стал зрячим, но перестал чувствовать себя несчастным. Этому дядя Максим, старый боец, знавший, что настоящая жизнь не прозябание, не спокойствие, а труд и борьба. «Он мечтал для Петра не о спокойствии, а о возможной полноте жизни» . Полнота жизни лишь в единении с людьми. И Максим посылает в путешествие с нищими слепцами.  «Я хотел, чтобы ты чувствовал чужое горе и перестал так носиться со своим…» . И Пётр «узнал горе, слепое и зрячее, от которого не раз больно сжималось сердце… Глаза его становились по-прежнему чистыми и по-прежнему незрячими. Но душа, несомненно, исцелилась» .  Исцелённая душа открыла слепому музыканту глубину «жизненной правды, сделала его музыкальный талант нужным людям. «И каждое сердце дрожало, как будто он касался его своими быстро бегущими руками» . Такова эта повесть о слепом музыканте, поучительная для каждого. Счастье п преодолении эгоизма, в любви к людям, в труде и творчестве на общее благо. 
4,5(2 оценок)
Это интересно:
Новые ответы от MOGZ: Математика
logo
Вход Регистрация
Что ты хочешь узнать?
Спроси Mozg
Открыть лучший ответ