М
Молодежь
К
Компьютеры-и-электроника
Д
Дом-и-сад
С
Стиль-и-уход-за-собой
П
Праздники-и-традиции
Т
Транспорт
П
Путешествия
С
Семейная-жизнь
Ф
Философия-и-религия
Б
Без категории
М
Мир-работы
Х
Хобби-и-рукоделие
И
Искусство-и-развлечения
В
Взаимоотношения
З
Здоровье
К
Кулинария-и-гостеприимство
Ф
Финансы-и-бизнес
П
Питомцы-и-животные
О
Образование
О
Образование-и-коммуникации
Dispensable
Dispensable
19.02.2022 01:49 •  Математика

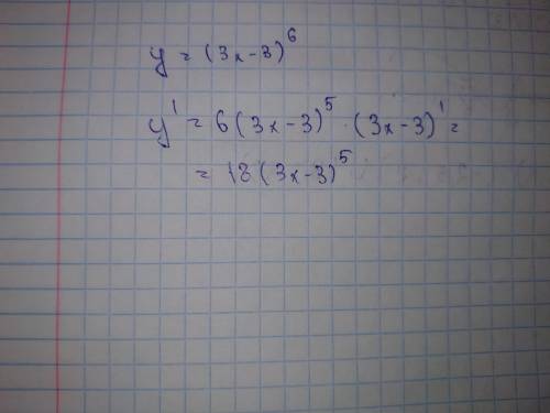
Найти производную функцию y=(3x-3)^6

👇
Ответ:
konstantin1959
konstantin1959
19.02.2022

/////////////////////////////


Найти производную функцию y=(3x-3)^6
4,4(38 оценок)
Открыть все ответы
Ответ:
Sofya768Miller
Sofya768Miller
19.02.2022

Пошаговое объяснение:

Задача 1

Пусть во второй части было х м ткани , тогда в первом  ( х+16) м ткани. Составим уравнение :

х+(х+16)= 104

х+х+16=104

2х= 104 - 16

2х= 88

х= 88 : 2

х= 44 м ткани было во втором куске

44+16= 60 м ткани было в первом куске

Задача 2

Пусть в поезде ехало х детей , тогда женщин ехало 2х человек , а мужчин 4х человек. Всего ехало 672 пассажира. Составим уравнение:

х+2х+4х= 672

7х= 672

х= 672 : 7

х= 96 детей ехало в поезде

2*96 = 192 женщины ехало в поезде

4*96= 384 мужчин ехало в поезде

Задача 3

Пусть спортсмен толкнул  ядро на расстояние х м, тогда копье он метнул на расстояние 5х м . По условию копье спортсмен метнул на 48 м дальше , чем толкнул ядро. Составим уравнение :

5х - х = 48

4х= 48

х= 48 : 4

х= 12 м , на такое расстояние спортсмен толкнул ядро

12 * 5 = 60 м , на такое расстояние спортсмен метнул копье

Задача 5

Во втором цехе работало х рабочих, значит в первом работало 3х рабочих и это на 216 рабочих больше , чем во втором цехе. Составим уравнение:

3х- х= 216

2х= 216

х= 216 : 2

х= 108 рабочих работало во втором цехе

108 * 3 = 324 рабочих работало в первом цехе

4,6(56 оценок)
Ответ:
Neronminecraft
Neronminecraft
19.02.2022

Пошаговое объяснение:

Задача 1

Пусть во второй части было х м ткани , тогда в первом  ( х+16) м ткани. Составим уравнение :

х+(х+16)= 104

х+х+16=104

2х= 104 - 16

2х= 88

х= 88 : 2

х= 44 м ткани было во втором куске

44+16= 60 м ткани было в первом куске

Задача 2

Пусть в поезде ехало х детей , тогда женщин ехало 2х человек , а мужчин 4х человек. Всего ехало 672 пассажира. Составим уравнение:

х+2х+4х= 672

7х= 672

х= 672 : 7

х= 96 детей ехало в поезде

2*96 = 192 женщины ехало в поезде

4*96= 384 мужчин ехало в поезде

Задача 3

Пусть спортсмен толкнул  ядро на расстояние х м, тогда копье он метнул на расстояние 5х м . По условию копье спортсмен метнул на 48 м дальше , чем толкнул ядро. Составим уравнение :

5х - х = 48

4х= 48

х= 48 : 4

х= 12 м , на такое расстояние спортсмен толкнул ядро

12 * 5 = 60 м , на такое расстояние спортсмен метнул копье

Задача 5

Во втором цехе работало х рабочих, значит в первом работало 3х рабочих и это на 216 рабочих больше , чем во втором цехе. Составим уравнение:

3х- х= 216

2х= 216

х= 216 : 2

х= 108 рабочих работало во втором цехе

108 * 3 = 324 рабочих работало в первом цехе

4,6(77 оценок)
Это интересно:
Новые ответы от MOGZ: Математика
logo
Вход Регистрация
Что ты хочешь узнать?
Спроси Mozg
Открыть лучший ответ