М
Молодежь
К
Компьютеры-и-электроника
Д
Дом-и-сад
С
Стиль-и-уход-за-собой
П
Праздники-и-традиции
Т
Транспорт
П
Путешествия
С
Семейная-жизнь
Ф
Философия-и-религия
Б
Без категории
М
Мир-работы
Х
Хобби-и-рукоделие
И
Искусство-и-развлечения
В
Взаимоотношения
З
Здоровье
К
Кулинария-и-гостеприимство
Ф
Финансы-и-бизнес
П
Питомцы-и-животные
О
Образование
О
Образование-и-коммуникации
ndjfhfidi
ndjfhfidi
29.10.2022 22:40 •  Математика

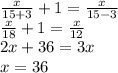
Расстояние между двух пристань моторная лодка проходит по течению реки на 1ч. быстрее чем против течения.её собственная скорость 15 км./ч. а скорость течения реки 3 км./ч. найди расстояние между пристанями. решить уравнением.

👇
Ответ:
\frac{x}{15+3}+1= \frac{x}{15-3} \\ \frac{x}{18} +1= \frac{x}{12} \\ 2x+36=3x \\ x=36

ответ: 36 км
4,6(62 оценок)
Открыть все ответы
Ответ:
ЛизаЕ
ЛизаЕ
29.10.2022

ответ:

пошаговое объяснение:

a1 = b1+2

a2 = b1*q+5

a3 = b1*q^2+7

a4 = b1*q^3+7

по свойствам арифметической прогрессии а1+а3=2а2

b1+2 + b1*q^2+7 = 2*b1*q+10

b1 - 2*b1*q + b1*q^2 = 10 - 7 - 2

b1*(1-2q+q^2) = 1

b1*(1-q)^2 = 1

b1 = 1/(1-q)^2

b1*g = q/(1-q)^2 [формула 1]

также по свойствам а2+а4=2*а3

b1*q+5 + b1*q^3+7 = 2*b1*q^2+14

b1*q - 2*b1*q^2 + b1*q^3 = 2

b1*q*(1-q)^2 = 2

b1*q = 2/(1-q)^2 [формула 2]

в формулах [1] и [2] левые части равны. приравниваем правые части

q/(1-q)^2 = 2/(1-q)^2

q = 2

b1 = 1/(1-q)^2 = 1/(1-2)^2 = 1

a1 = b1+2 = 1+2 = 3

a2 = b1*q+5 = 1*2+5 = 7

a3 = b1*q^2+7 = 1*2^2+7 = 11

a3 = b1*q^3+7 = 1*2^3+7 = 15

4,7(5 оценок)
Ответ:

ответ: 1. У Петрова было на 6 попаданий меньше чем у Васильева; 2. Двумя

1. Нам известно сколько очков набрал каждый из участников. Найдем разность между этими двумя количествами:

36 - 24 = 12.

Поскольку за каждое попадание  было засчитано по 2 очка, найдем количество попаданий соответствующее 12 очкам:

12 / 2 = 6.

То есть у Петрова на 6 попаданий меньше.

2. У прямоугольника противоположные стороны равны. Разделить его на 2 равных можно, если из середины одной стороны прочертить линию через середину противоположной стороны. Поскольку прямоугольник имеет 2 пары противоположных сторон, то разделить его на 2 равных можно

4,4(26 оценок)
Новые ответы от MOGZ: Математика
logo
Вход Регистрация
Что ты хочешь узнать?
Спроси Mozg
Открыть лучший ответ