М
Молодежь
К
Компьютеры-и-электроника
Д
Дом-и-сад
С
Стиль-и-уход-за-собой
П
Праздники-и-традиции
Т
Транспорт
П
Путешествия
С
Семейная-жизнь
Ф
Философия-и-религия
Б
Без категории
М
Мир-работы
Х
Хобби-и-рукоделие
И
Искусство-и-развлечения
В
Взаимоотношения
З
Здоровье
К
Кулинария-и-гостеприимство
Ф
Финансы-и-бизнес
П
Питомцы-и-животные
О
Образование
О
Образование-и-коммуникации
Aislu111
Aislu111
21.05.2021 15:46 •  Математика

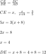
Продолжение боковых сторон ав и сd трапеции авсd пересекаются в точке е. найдите отрезок еd если, сd = 8 см вс: ad = 3: 5

👇
Ответ:
спартак371
спартак371
21.05.2021
\frac{CE}{DE}=\frac{DC}{AD}\\\\CE=x,\; \; \frac{x}{x+8}=\frac{3}{5}\\\\5x=3(x+8)\\\\2x=8\\\\x=4\\\\DE=x+8=4+8=12
4,6(92 оценок)
Открыть все ответы
Ответ:
yexevosux
yexevosux
21.05.2021
Давайте определим сколько замечательных чисел среди трехзначных. Трехзначные от 100 до 999. Значит сумма цифр в этих трехзначных варьируется от 1 до 27 (100 и 999 соответственно) . Значит должно быть 27 замечательных (на каждую сумму по одному замечательному) . Первым и минимальным будет 100 (сумма равна 1). Следующие от 101 до 109 (сумма от 2 до 10). Сумма=11 у числа 191. Следующие от 192 до 199 (сумма от 12 до 19). Сумма 20 у числа 299. И так далее. 21 - 399, 22 - 499, ..27 - 999. В итоге нужно посчитать сумму следующих чисел: от 100 до 109 включительно, от 192 до 199 включительно, и всех трехзначных чисел, оканчивающихся на "99", число сотен которых равно "3" и больше. Но этот вариант годен, если рассматривать, что замечательное число выбирается из стольки же значных чисел. А это скорее всего не так. Поэтому нужно из моего списка отсеить все числа, сумма цифр которых меньше 19 (99 - двузначное, сумма равна 18). Поэтому рассматриваем как замечательные числа числа от 199. То есть среди трехзначных чисел замечательными являются все заканчивающиеся на "99". Их сумма = (2+3+4+5+6+7+8+9+10)*100-9=5391
4,4(51 оценок)
Ответ:
скорость пешехода 6 км/час;
велосипедист через 2 часа за ним;
скорость велосипедиста 12 км/час;
велосипедист догонит ? час

Решение.

Арифметический
6 * 2 = 12 (км) --- пройдет пешеход к моменту выезда велосипедиста;
12 - 6 = 6 (км/час)  скорость сближения;
12 : 6 = 2 (часа) время, через которое велосипедист догонит пешехода.
ответ: велосипедист догонит пешехода через 2 часа.
Проверка: 6*(2+2) = 12*2 ;  24 = 24.До встречи они проходят одинаковое расстояние!

Алгебраический
Х, час время, через которое велосипедист догонит пешехода;
12*Х , км расстояние, которое проедет велосипедист до встречи;
(2 + Х), час время, которое пройдет пешеход до того, как его догонит велосипедист;
6*(2 + Х), км расстояние, которое пройдет пешеход до встречи.
12*Х = 6*(2 + Х) уравнение встречи
12Х = 12 + 6Х ;  12Х - 6Х = 12;   6Х = 12;   Х =2 (час)
ответ: велосипедист догонит пешехода через 2 часа.
4,5(44 оценок)
Это интересно:
Новые ответы от MOGZ: Математика
logo
Вход Регистрация
Что ты хочешь узнать?
Спроси Mozg
Открыть лучший ответ