М
Молодежь
К
Компьютеры-и-электроника
Д
Дом-и-сад
С
Стиль-и-уход-за-собой
П
Праздники-и-традиции
Т
Транспорт
П
Путешествия
С
Семейная-жизнь
Ф
Философия-и-религия
Б
Без категории
М
Мир-работы
Х
Хобби-и-рукоделие
И
Искусство-и-развлечения
В
Взаимоотношения
З
Здоровье
К
Кулинария-и-гостеприимство
Ф
Финансы-и-бизнес
П
Питомцы-и-животные
О
Образование
О
Образование-и-коммуникации
katyamosondz
katyamosondz
20.05.2022 09:38 •  Математика

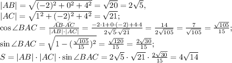
Решить ето .найти площадь паралелограма построеного на векторах ав=(-2; 0; 4) ас=(1; -2; 4) нужно.

👇
Ответ:
|AB|= \sqrt{(-2)^2+0^2+4^2} = \sqrt{20} = 2 \sqrt{5} , \\ |AC|= \sqrt{1^2+(-2)^2+4^2} = \sqrt{21} ; \\ \cos\angle BAC = \frac{\bar{AB}\cdot\bar{AC}}{|AB|\cdot|AC|} = \frac{-2\cdot1+0\cdot(-2)+4\cdot4}{2\sqrt{5}\cdot\sqrt{21}} = \frac{14}{2\sqrt{105}} = \frac{7}{\sqrt{105}} = \frac{\sqrt{105}}{15} ; \\ \sin\angle BAC = \sqrt{1-(\frac{\sqrt{105}}{15})^2} = \frac{\sqrt{120}}{15} = \frac{2\sqrt{30}}{15}; \\ 
S=|AB|\cdot|AC|\cdot\sin\angle BAC = 2\sqrt{5}\cdot\sqrt{21}\cdot\frac{2\sqrt{30}}{15}=4\sqrt{14}
4,7(23 оценок)
Открыть все ответы
Ответ:
ŦáêHŷùnģ
ŦáêHŷùnģ
20.05.2022
Для вычисления данного выражения, сначала нужно сложить обыкновенные дроби. Затем полученную сумму нужно прибавить к смешанной дроби.

1. Начнем со сложения обыкновенных дробей: 1/4 + 7/18.

Сначала найдем общий знаменатель для этих двух дробей. Наименьшее общее кратное для чисел 4 и 18 равно 36.

Теперь приведем оба слагаемых к общему знаменателю, умножив числитель и знаменатель первой дроби на 9, а числитель и знаменатель второй дроби на 2:

(1/4) * (9/9) + (7/18) * (2/2)

Получим: 9/36 + 14/36.

Теперь сложим числители: 9 + 14 = 23.
Знаменатель останется прежним: 36.

Итак, 1/4 + 7/18 = 23/36.

2. Теперь нужно прибавить полученную сумму к смешанной дроби 1/2 7/18.

Для этого нужно привести и обыкновенную дробь, и смешанную дробь к общему знаменателю.

Общий знаменатель для чисел 2 и 36 равен также 36.

Приведем первую дробь к общему знаменателю, умножив числитель и знаменатель на 18:
(1/2) * (18/18) = 18/36.

Теперь сложим две дроби:
18/36 + 23/36 = 41/36.

Результатом является несократимая дробь 41/36.

3. Чтобы записать ответ в виде смешанной дроби, нужно определить целую часть и остаток.

Для этого поделим числитель на знаменатель.
41 ÷ 36 = 1 целая часть и остаток 5.

Получается, что смешанная дробь равна 1 5/36.

Ответ: Целая часть смешанной дроби - 1, числитель смешанной дроби - 5, знаменатель смешанной дроби - 36.
4,8(35 оценок)
Ответ:
VladimirLK
VladimirLK
20.05.2022
Для решения этой задачи, мы можем использовать закон Бойля-Мариотта, который устанавливает зависимость между объемом, давлением и температурой газа.

Закон Бойля-Мариотта гласит: "при постоянной температуре и массе газа, объем обратно пропорционален давлению".

Таким образом, формула для данной задачи будет выглядеть следующим образом:
V1/P1 = V2/P2

где V1 - объем искомого газа (в данном случае 1 кг азота), P1 - давление исходного газа, V2 - объем исходного газа, P2 - давление исходного газа.

Мы знаем, что масса азота равна 1 кг, поэтому V1 = 1 кг.

Температура задана как 70 градусов, но для преобразования из градусов Цельсия в Кельвины (так как закон Бойля-Мариотта использует шкалу Кельвина), мы добавим 273.15 к температуре:
T = 70 + 273.15 = 343.15 K

Давление задано как 0.2 МПа, но для преобразования из мегапаскалей в паскали (так как закон Бойля-Мариотта использует паскали), мы умножим на 10^6:
P2 = 0.2 МПа * 10^6 = 200000 Па

Теперь, мы можем подставить все значения в формулу:
1 кг/P1 = V2/200000 Па

Чтобы найти P1, мы используем уравнение состояния идеального газа:
P1V1 = nRT

где n - количество вещества газа, R - универсальная газовая постоянная (8.314 дж/К*моль), T - температура в Кельвинах.

Мы знаем, что масса азота равна 1 кг, а молярная масса азота равна 28 г/моль. Чтобы найти количество вещества газа (n), мы используем формулу:
n = масса газа / молярная масса

n = 1 кг / 28 г/моль = 1000 г / 28 г/моль = 35.71 моль

Используя все эти значения, мы можем решить уравнение:
P1 * 1 кг = 35.71 моль * 8.314 дж/К*моль * 343.15 К

P1 = (35.71 моль * 8.314 дж/К*моль * 343.15 К) / 1 кг = 98.786 МПа

Теперь, мы можем заменить значение P1 в исходной формуле:
1 кг / 98.786 МПа = V2 / 200000 Па

Чтобы найти V2, мы умножим значения на противоположные стороны:
V2 = (1 кг * 200000 Па) / 98.786 МПа = 2021.62 м^3

Таким образом, 1 кг азота занимает примерно 2021.62 м^3 объема при температуре 70 градусов и давлении 0.2 МПа.
4,8(77 оценок)
Это интересно:
Новые ответы от MOGZ: Математика
logo
Вход Регистрация
Что ты хочешь узнать?
Спроси Mozg
Открыть лучший ответ