М
Молодежь
К
Компьютеры-и-электроника
Д
Дом-и-сад
С
Стиль-и-уход-за-собой
П
Праздники-и-традиции
Т
Транспорт
П
Путешествия
С
Семейная-жизнь
Ф
Философия-и-религия
Б
Без категории
М
Мир-работы
Х
Хобби-и-рукоделие
И
Искусство-и-развлечения
В
Взаимоотношения
З
Здоровье
К
Кулинария-и-гостеприимство
Ф
Финансы-и-бизнес
П
Питомцы-и-животные
О
Образование
О
Образование-и-коммуникации
2003Саша
2003Саша
17.03.2022 19:27 •  Математика

Найдите наибольшее значение функции у=ln(х+3)^7-7х на отрезке[-2,5; 0]

👇
Ответ:
loooollik
loooollik
17.03.2022
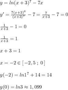
y=ln (x+3)^7-7x\\\\y'=\frac{7(x+3)^6}{(x+3)^7}-7=\frac{7}{x+3}-7=0\\\\\frac{1}{x+3}-1=0\\\\\frac{1}{x+3}=1\\\\x+3=1\\\\x=-2\in [\, -2,5\; ;\; 0\, ]\\\\y(-2)=ln1^7+14=14\\\\y(0)=ln3\approx 1,099

y(-2,5)=ln0,5+17,5=ln2^{-1}+17,5=\\\\=-ln2+17,5\approx -0,69+17,5=15,81\\\\max\; y_{[-2,5;0]}=y(-2,5)=-ln2+17,5
4,6(48 оценок)
Открыть все ответы
Ответ:
alina9ru
alina9ru
17.03.2022
Молитва-главный ежедневный обряд. Молитва – это обращение верующего к Богу. Молиться верующий может как у себя дома, так и в храме (мечети или синагоге).

Воскресение - в христианстве-праздничное богослужение-было дано в память о воскресении Иисуса Христа. Этот день считается в христианских странах праздником, днем, посвященным не обычным делам, а Богу. В этот день верующие обычно посещают церковь.

Таинство - в христианстве семь таинств или священнодействия. В христианстве существует семь таинств или священнодействия. Это семь главных обрядов (таинств): крещение, причастия (евхаристия), покаяние(исповедь), миропомазание, брак, елеосвящение (соборование), священство. Таинствами они называются потому, что в них «под видимым образом сообщается верующим невидимая божественная благодать »

Венчание - таинство венчания совершается над юношей и девушкой, которые вступают в брак, создавая тем самым семью.
4,6(6 оценок)
Ответ:
Лида1113внк
Лида1113внк
17.03.2022
Обозначим их числами от 1 до 14. Выпишем составы партий:
(1,2,3);(1,2,4);(3,4,5);(5,6,7);(6,7,8);(8,9,10);(9,10,11);(11,12,13);(12,13,14)
Как я построил этот список? Взял две первые тройки, (1,2,3);(1,2,4).
Жители 1 и 2 уже состоят в 2 партиях каждый, больше они не могут быть ни в одной партии. Следующую партию берем (3,4,5).
Теперь жители 3 и 4 каждый в двух партиях, а 5 пока в одной.
(5,6,7);(6,7,8)
Теперь 5, 6 и 7 - каждый в 2 партиях, и появился житель 8.
(8,9,10);(9,10,11)
Теперь 8, 9 и 10 - каждый в 2 партиях, и появился житель 11.
(11,12,13);(12,13,14)
Теперь 11, 12 и 13 - каждый в 2 партиях, и только 14 в одной.
Больше жителей нет, поэтому дальше продолжить нельзя.
Получилось 9 партий.

Можно построить список по другому принципу:
(1,2,3);(1,4,5);(2,4,6);(3,5,6);(7,8,9);(7,10,11);(8,10,12);(9,11,13);(12,13,14)
Но в результате все равно получилось 9 партий.
Все жители входят в две партии, только 14 в одну.

ответ: 9 партий.
4,7(85 оценок)
Это интересно:
Новые ответы от MOGZ: Математика
logo
Вход Регистрация
Что ты хочешь узнать?
Спроси Mozg
Открыть лучший ответ