М
Молодежь
К
Компьютеры-и-электроника
Д
Дом-и-сад
С
Стиль-и-уход-за-собой
П
Праздники-и-традиции
Т
Транспорт
П
Путешествия
С
Семейная-жизнь
Ф
Философия-и-религия
Б
Без категории
М
Мир-работы
Х
Хобби-и-рукоделие
И
Искусство-и-развлечения
В
Взаимоотношения
З
Здоровье
К
Кулинария-и-гостеприимство
Ф
Финансы-и-бизнес
П
Питомцы-и-животные
О
Образование
О
Образование-и-коммуникации
Yotuberik
Yotuberik
26.01.2020 21:59 •  Математика

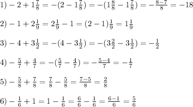
Найдите значение суммы: 1)-2+1 7/8; 2)-1+2 1/9; 3) -4 +3 1/2; 4)-5/7+4/7; 5)-5/8+7/8; 6)-1/6 +1;

👇
Ответ:
Кирилл11221
Кирилл11221
26.01.2020

1)-2+1\frac{7}{8}=-(2-1\frac{7}{8})=-(1\frac{8}{8}-1\frac{7}{8})=-\frac{8-7}{8}= -\fra{1}{8}\\ \\2)-1+2\frac{1}{9}=2\frac{1}{9}-1=(2-1)\frac{1}{9} =1\frac{1}{9}\\\\3) -4 +3\frac{1}{2}=-(4-3\frac{1}{2})=-(3\frac{2}{2}-3\frac{1}{2})=-\frac{1}{2}\\\\4)-\frac{5}{7}+\frac{4}{7}=-(\frac{5}{7} -\frac{4}{7})=-\frac{5-4}{7}=-\frac{1}{7}\\\\5)-\frac{5}{8}+\frac{7}{8}=\frac{7}{8}-\frac{5}{8}=\frac{7-5}{8}=\frac{2}{8}\\\\6)-\frac{1}{6}+1=1-\frac{1}{6}=\frac{6}{6}-\frac{1}{6}=\frac{6-1}{6}=\frac{5}{6}

4,8(80 оценок)
Открыть все ответы
Ответ:
adekvat3
adekvat3
26.01.2020
Скоростной бег на конькахВид спортивного состязания, в котором
нужно как можно скорее пробежать на коньках дистанции определенной длины на
ледовом стадионе по замкнутому кругу. Шорт-трекРазновидность скоростного бега на коньках.
Название «short track» = короткая дорожка, говорит само за себя. Соревнования
проводятся на стадионах, предназначенных для хоккея с шайбой. Размеры таких
стадионов в Европе 30х60 метров, в Северной Америке – 25х60 метров. Отличия:

Скоростной бег на конькахДлина дорожки 400 метров. В каждом забеге
участвуют только 2 спортсмена. Шорт-трекСоревнования проводятся на стадионах для
хоккея с шайбой. Длина дорожки 111,12 метра. В забеге участвуют 4 или больше
спортсменов.

Главное отличие: размер площадки,
дорожки. Длина круга в скоростном беге на коньках значительно больше, чем в
шорт-треке. Есть различия в технике бега, экипировке (у них, вроде, коньки
различаются) , правилах (конькобежцы парами выступают и не мешают друг другу,
каждый на своей дорожке, шортрекеры – без деления на дорожки)
4,6(1 оценок)
Ответ:
ВЕSТ
ВЕSТ
26.01.2020
Десятичная дробь есть результат деления единицы на десять, сто, тысячу и т. д. частей. Эти дроби очень удобны для вычислений, так как они основаны на той же позиционной системе, на которой построены счёт и запись целых чисел. Благодаря этому запись и правила действий с десятичными дробями фактически те же, что и для целых чисел. При записи десятичных дробей нет необходимости отмечать знаменатель, это определяется местом, которое занимает соответствующая цифра. Сначала пишется целая часть числа, затем справа ставится десятичная точка. Первая цифра после десятичной точки означает число десятых, вторая – число сотых, третья – число тысячных и т. д. Цифры, расположенные после десятичной точки, называются десятичными знаками.

П р и м е р .

Одно из преимуществ десятичных дробей – они легко приводятся к виду обыкновенных: число после десятичной точки (в нашем случае 5047) – это числитель; знаменатель же равен n–ой степени 10, где n - количество десятичных знаков (в нашем случае n = 4):

Если десятичная дробь не содержит целой части, то перед десятичной точкой ставится ноль:

Свойства десятичных дробей.

1. Десятичная дробь не меняется, если справа добавить нули:

13.6 =13.6000.

2. Десятичная дробь не меняется, если удалить нули, расположенные
в конце десятичной дроби:

0.00123000 = 0.00123 .

Внимание! Нельзя удалять нули, расположенные не в конце десятичной дроби!

3.
Десятичная дробь возрастает в 10, 100, 1000 и т. д. раз, если перенести
десятичную точку на одну, две, три и т. д. позиций вправо:

3.675 ---> 367.5 (дробь возросла в 100 раз) .

4.
Десятичная дробь уменьшается в 10, 100, 1000 и т. д. раз, если перенести
десятичную точку на одну, две, три и т. д. позиций влево:

1536.78 ---> 1.53678 (дробь уменьшилась в 1000 раз) .

Эти свойства позволяют быстро умножать и делить десятичные дроби на 10, 100, 1000 и т. д.
4,8(82 оценок)
Это интересно:
Новые ответы от MOGZ: Математика
logo
Вход Регистрация
Что ты хочешь узнать?
Спроси Mozg
Открыть лучший ответ