М
Молодежь
К
Компьютеры-и-электроника
Д
Дом-и-сад
С
Стиль-и-уход-за-собой
П
Праздники-и-традиции
Т
Транспорт
П
Путешествия
С
Семейная-жизнь
Ф
Философия-и-религия
Б
Без категории
М
Мир-работы
Х
Хобби-и-рукоделие
И
Искусство-и-развлечения
В
Взаимоотношения
З
Здоровье
К
Кулинария-и-гостеприимство
Ф
Финансы-и-бизнес
П
Питомцы-и-животные
О
Образование
О
Образование-и-коммуникации
еккаа
еккаа
10.07.2020 15:54 •  Математика

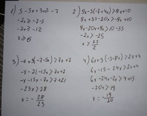
Решите линейные неравенства 1 )-5(-1+x)+3x ≥ -7 2) 9x-5(-7+4x)> -9x+10 3) -x+3(-7-5x)> 7x+7 4) 6x+3(-5-8x)> 2x+4

👇
Ответ:
anastasyaantonova07
anastasyaantonova07
10.07.2020
Будь . ласка
відповідь на зображенні
Решите линейные неравенства 1 )-5(-1+x)+3x ≥ -7 2) 9x-5(-7+4x)> -9x+10 3) -x+3(-7-5x)> 7x+7 4)
4,4(93 оценок)
Открыть все ответы
Ответ:
frausadykova20
frausadykova20
10.07.2020
Вконце 18-ого века грузия решила войти в состав родственной ей по религии (православие) российской империи. однако общих границ грузия с россией не имела, пути их сближения стояло закавказье с его мусульманством и хищническими горским народностями, "немирными",как говорили тогда. османская империя и иран поддерживали народы закавказья в их сопротивлении продвижению россии к грузинским территориям. у росси было тогда непростое международное положение. требовался по возможности подход мирный не военный: россия не могла воевать против турции на двух фронтах одновременно.
4,4(31 оценок)
Ответ:
Angelona19
Angelona19
10.07.2020
Жил-был мальчик  чарли. рос он в бедной семье, недоедал и недопивал. больше всего он любил шоколад, который мог пробовать только один раз в год, в день своего рождения. а еще имел мечту - побывать на шоколадной фабрике, которая находилась недалеко от его дома. и вот однажды ему по-настоящему повезло:   чарли  стал одним из пяти детей, кто выиграл счастливый золотой билет, который давал возможность побывать на шоколадной фабрике вилли вонка. он выиграл его в сложное время: обессиленный от голода, чарли нашел один доллар, за который купил конфету. и произошло чудо: в ней и был пятый золотой билет. каково же было интересно на фабрике! там были: настоящий шоколадный водопад и стебельки мягкой мятной ваты, шоколадные реки и "съедобные обои для детских комнат", "горячее мороженое для холодных дней" и "квадратные конфеты, превращающиеся в круглые", а также "супер витамины конфеты". а еще гости видели маленьких людей умпа-лумпа, импортируемых прямо с лумпаландии. именно эти люди и работали на фабрике вонка. оказалось, что маленькие люди больше всего любят какао-бобы, поэтому мистер вонка и предложил им работать на  шоколадной фабрике. умпа-лумпа жили и работали на фабрике, поэтому туда никто не входил и не выходил. каждый из пяти гостей фабрики - августус глуп, верука солт, виолетта бьюгард, майк тиви и  чарли бакет  - во время экскурсии попадали в странные . оказывается, все эти приключения были направлены на то, чтобы гости лишились своих недостатков, которые захватили их, сделали рабами. ведь прожорливость, постоянное жевание резинок, бездумное сидение перед телевизором, постоянные капризы являются отрицательными чертами, которые, к сожалению, существуют в нашей жизни. в финале произведения дети исправились и как награду получили много шоколада, которого хватит на всю жизнь. и только чарли на протяжении всей экскурсии оставался воспитанным, сдержанным, добрым, вежливым, искренним мальчиком. поэтому неудивительно, что свою фабрику вилли вонка подарил именно ему. чарли мистеру вонку  шоколадной фабрикой, а родители, дедушки и бабушки мальчика жили все вместе на фабрике. следовательно, всегда следует быть хорошим человеком, и тогда сбудутся все твои мечты. вот  чему учит мальчика чарли.
4,6(31 оценок)
Это интересно:
Новые ответы от MOGZ: Математика
logo
Вход Регистрация
Что ты хочешь узнать?
Спроси Mozg
Открыть лучший ответ