М
Молодежь
К
Компьютеры-и-электроника
Д
Дом-и-сад
С
Стиль-и-уход-за-собой
П
Праздники-и-традиции
Т
Транспорт
П
Путешествия
С
Семейная-жизнь
Ф
Философия-и-религия
Б
Без категории
М
Мир-работы
Х
Хобби-и-рукоделие
И
Искусство-и-развлечения
В
Взаимоотношения
З
Здоровье
К
Кулинария-и-гостеприимство
Ф
Финансы-и-бизнес
П
Питомцы-и-животные
О
Образование
О
Образование-и-коммуникации
dan362
dan362
03.01.2020 19:47 •  Математика

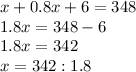
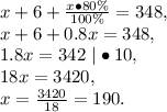
Надо решить уровнением. сумма двух чисел равна 348.второе число на 6 больше,чем 80% первого числа. найдите первое число.

👇
Ответ:
SofiCoRainbow1
SofiCoRainbow1
03.01.2020
Это, то что тебе нужно?
Если первое не подойдёт, значит посмотри второй вариант :)
Надо решить уровнением. сумма двух чисел равна 348.второе число на 6 больше,чем 80% первого числа. н
Надо решить уровнением. сумма двух чисел равна 348.второе число на 6 больше,чем 80% первого числа. н
4,6(39 оценок)
Открыть все ответы
Ответ:
masha32434
masha32434
03.01.2020
Тема (С+Б) 40 руб.;
Даня (С+П) 45 руб.;
Егор (Б+П) 55 руб;
Алиса ( С+Б+П) ---? руб.
Решение.
40 + 45 = 85 руб. заплатили вместе Даня и Тема, купив 2 сока,булочку и пирожное (2С+Б+П);
85 - 55 = 30 руб разница в деньгах, уплаченных Егором и совместно Темой и Даней, а в покупках это будет разница в 2 сока [( 2С+Б+П )-(С+П)=2С];
30 : 2 = 15 руб. стоимость сока
15 + 55 = 70 руб. стоимость покупки Алисы(С+Б+П): сок(С) и данная в условии стоимость покупки Егора (Б+П)
ответ: 70 рублей должна заплатить Алиса.
Проверка: зная цену сока, из покупки Темы можно найти цену булочки 40-15= 25, а из покупки Дани цену пирожного 45-15=30; тогда покупка Егора (булочка и пирожное) 30+25=55, что соответствует условию.
4,4(55 оценок)
Ответ:
125894
125894
03.01.2020

34 кн.

Пошаговое объяснение:

решение уравнением):  

 Пусть х книг - это на первой полке,

тогда х + 4 это на третьей.

Составим и решим уравнение:

х + х + х + 4 = 94

3х + 4 = 94

3х = 94 - 4

3х = 90

х = 90 : 3

х = 30 (книг) - на первой полке.

30 + 4 = 34 (книги)

ответ: 34 книги на третьей полке.

решение по действиям):

1 полка - ?

2 полка - ?, столько же сколько на первой.

3 полка - ?, на 4 больше чем на первой.

Всего - 94.

1) 94 - 4 = 90 (кн.) - это мы приравняли все книги на полках к одному значению.

2) 90 : 3 = 30 (кн.) - на первой полке.

3) 30 + 4 = 34 (кн.)

ответ: 34 книги на третьей полке.

4,6(11 оценок)
Это интересно:
Новые ответы от MOGZ: Математика
logo
Вход Регистрация
Что ты хочешь узнать?
Спроси Mozg
Открыть лучший ответ