М
Молодежь
К
Компьютеры-и-электроника
Д
Дом-и-сад
С
Стиль-и-уход-за-собой
П
Праздники-и-традиции
Т
Транспорт
П
Путешествия
С
Семейная-жизнь
Ф
Философия-и-религия
Б
Без категории
М
Мир-работы
Х
Хобби-и-рукоделие
И
Искусство-и-развлечения
В
Взаимоотношения
З
Здоровье
К
Кулинария-и-гостеприимство
Ф
Финансы-и-бизнес
П
Питомцы-и-животные
О
Образование
О
Образование-и-коммуникации
rybakovjaroslav
rybakovjaroslav
14.05.2021 21:25 •  Математика

Озд 1) 1-3х (под корнем) = 3+х 2) 21 (без корня) + 2х-7 (под корнем) =х 3) х=1 (без) + х+5 (под) 4) х=2-х(под)

👇
Ответ:
Vitalikprofi
Vitalikprofi
14.05.2021
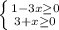
1. \left \{ {{1-3x \geq 0} \atop {3+x \geq 0}} \right.
 \left \{ {{3x \leq1 } \atop {x \geq -3}} \right.
\left \{ {{x \leq \frac{1}{3} } \atop {x \geq -3}} \right.
ответ:[-3;\frac{1}{3}]
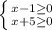
2. 21-x= \sqrt{2x-7}
\left \{ {{21-x \geq 0} \atop {2x-7 \geq 0}} \right.
\left \{ {{x} \leq 21 \atop {x \geq \frac{7}{2} }} \right.
ответ: [\frac{7}{2};21]
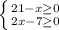
3. x-1= \sqrt{x+5}
\left \{ {{x-1 \geq 0} \atop {x+5 \geq 0}} \right.
\left \{ {{x \geq 1} \atop {x \geq -5}} \right.
ответ: [1;+∞]
4. \left \{ {{x \geq 0} \atop {2-x \geq 0}} \right.
\left \{ {{x \geq 0} \atop {x \leq 2}} \right.
ответ: [0;2]
4,4(100 оценок)
Открыть все ответы
Ответ:
glokol
glokol
14.05.2021
От прямого угла до центра противоположной стороны прочерти отрезок, второй отрезок - от этой точки до центра одной стороны , а третий отрезок от этой же точки до середины второй стороны. У тебя получится 4 треугольника, из них и сложи квадрат.                                                                                    От прямого угла до середины противоположной стороны прочерти отрезок. Разрезай! У тебя получилось 2 треугольника. Каждый из них раздели так же на 2 равных. Вот тебе и квадрат
4,4(79 оценок)
Ответ:
zaev1990
zaev1990
14.05.2021
 Теорема о неравенстве треугольника:

Каж­дая сто­ро­на тре­уголь­ни­ка мень­ше суммы двух дру­гих сто­рон.            ( Доказательство можете посмотреть в учебнике или найти в сети.) 

Следовательно, третья сторона  не может быть равна или больше 7+16, т.е.  она меньше 23 см. 

Но она не может быть меньше разности двух других сторон ( 16-7), так как в противном случае сторона длиной 16 см будет больше суммы  длин третьей и первой стороны. 

Т.е. третья сторона больше 9 см

Итак, 9 см < 3-я сторона< 23 см


4,4(68 оценок)
Новые ответы от MOGZ: Математика
logo
Вход Регистрация
Что ты хочешь узнать?
Спроси Mozg
Открыть лучший ответ