М
Молодежь
К
Компьютеры-и-электроника
Д
Дом-и-сад
С
Стиль-и-уход-за-собой
П
Праздники-и-традиции
Т
Транспорт
П
Путешествия
С
Семейная-жизнь
Ф
Философия-и-религия
Б
Без категории
М
Мир-работы
Х
Хобби-и-рукоделие
И
Искусство-и-развлечения
В
Взаимоотношения
З
Здоровье
К
Кулинария-и-гостеприимство
Ф
Финансы-и-бизнес
П
Питомцы-и-животные
О
Образование
О
Образование-и-коммуникации
NickMean
NickMean
06.05.2021 21:16 •  Математика

Стороны треугольника = 29см,25см и 6см. вычислите длину окружности, вписанной в треугольник. нужен полный ответ с решением.

👇
Ответ:
aandrey336
aandrey336
06.05.2021
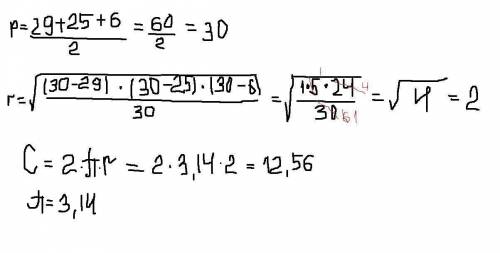
r = S\р
р = Р\2 
Р = а+в+с = 29+25+6 = 60
р = 60\2= 30
r = √(((p-a)(p-b)(p-c))/p)= √(((30-29)(30-25)(30-6))/30)= √((1*5*24)\30)=√(120\30)=√4=2
C = 2Пr = 2*3,14*2 
C=12,56
Стороны треугольника = 29см,25см и 6см. вычислите длину окружности, вписанной в треугольник. нужен п
4,5(79 оценок)
Открыть все ответы
Ответ:
Aryzhaн
Aryzhaн
06.05.2021

5%-11

15%-33

20%-44

35%-77

50%-110

100%-220

Пошаговое объяснение:

Решим пропорцией:

100*11/5=220 - искомое число и наши 100%.

1. Ищем 15% от числа 220.

100% - 220

15% - ?

Решаем пропорцией:

15*220/100=33

ответ: 15% это число 33 от числа 220.

2. Ищем 20% от числа 220.

100% - 220

20% - ?

Решаем пропорцией:

20*220/100=44

ответ: 20% это число 44 от числа 220.

3. Ищем 35% от числа 220.

100% - 220

35% - ?

Решаем пропорцией:

35*220/100=77

ответ: 35% это число 77 от числа 220.

4. Ищем 50% от числа 220.

100% - 220

50% - ?

Решаем пропорцией:

50*220/100=110

ответ: 50% это число 110 от числа 220.

5. 100% - это и есть 220. 

4,5(98 оценок)
Ответ:
Natashakr10
Natashakr10
06.05.2021

y'' = y' + x

Делаем замену y' = z(x). Тогда y'' = z'(x). Подставляя в исходное уравнение, получаем:

- x - z + z' = 0

Представим в виде:

- z + z' = x

Это неоднородное уравнение. Сделаем замену переменных: z = u * v, z' = u' * v + u * v'.

-u * v + u * v' + u' * v = x

или

u( - v + v') + u' * v = x

Выберем переменную v так, чтобы выполнялись условия:

1. u * ( - v + v') = 0

2. u'v = x

1. Приравниваем u=0, находим решение для:

- v + v' = 0

Представим в виде:

v' = v

Преобразуем уравнение так, чтобы получить уравнение с разделяющимися переменными:

(dv / v) = dx

Интегрируя, получаем:

ln(v) = x

v = ex

2. Зная v, Находим u из условия: u' * v = x

u' * ex = x

u' = x * e-x

Интегрируя, получаем:

u = C + (- x - 1) * e-x

Из условия z=u*v, получаем:

z = u * v = (C + ( - x - 1) * e -x) * ex

или

z = C * ex - x - 1.

Поскольку y'=z, то интегрируя, окончательно получаем:

y=C1 * ex - x2 / 2 - x + C2.

4,6(80 оценок)
Это интересно:
Новые ответы от MOGZ: Математика
logo
Вход Регистрация
Что ты хочешь узнать?
Спроси Mozg
Открыть лучший ответ