М
Молодежь
К
Компьютеры-и-электроника
Д
Дом-и-сад
С
Стиль-и-уход-за-собой
П
Праздники-и-традиции
Т
Транспорт
П
Путешествия
С
Семейная-жизнь
Ф
Философия-и-религия
Б
Без категории
М
Мир-работы
Х
Хобби-и-рукоделие
И
Искусство-и-развлечения
В
Взаимоотношения
З
Здоровье
К
Кулинария-и-гостеприимство
Ф
Финансы-и-бизнес
П
Питомцы-и-животные
О
Образование
О
Образование-и-коммуникации
Катя7544
Катя7544
25.09.2020 08:50 •  Математика

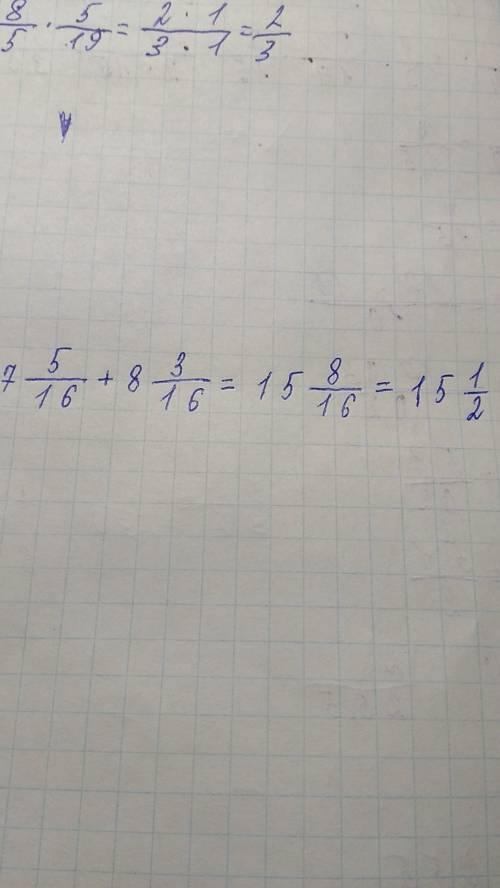
А) 7 целых 5 числитель и 16 знаменатель+8 целых 3 числитель 16 знаменатель !

👇
Ответ:
вова993
вова993
25.09.2020
7 5/16 + 8 3/16= (В неправильную дробь) 117/16+131/16=248/16=15,5
ответ: 15,5 
4,4(34 оценок)
Ответ:
ppppppp0000
ppppppp0000
25.09.2020
Читается: семь целых пять шестнадцатых плюс восемь целых три шестнадцатых.

Нажми на фото и увидишь решение.
А) 7 целых 5 числитель и 16 знаменатель+8 целых 3 числитель 16 знаменатель !
4,8(21 оценок)
Открыть все ответы
Ответ:
GOLUBOVICH0400
GOLUBOVICH0400
25.09.2020
Каждый из нас, каждый из тех, кто считает себя частицей мирового человечества, обязан знать, какое влияние оказывает человеческая деятельность на окружающий нас мир и чувствовать на себе долю ответственности за те или иные действия. Именно человек является причиной собственных опасений по поводу природы, как дом, дающий пищу, тепло и другие условия для его нормальной жизни. Человеческая деятельность является весьма агрессивной и активно разрушающей (преобразующей) силой на нашей планете. Человек с самого начала своего развития чувствовал себя хозяином всего, что его окружает. Но, как гласит пословица: "Не руби сук, на котором сидишь". Одно неверное решение и, возможно, понадобятся десятки, а то и сотни лет на исправление роковой ошибки. Природный баланс весьма хрупок.
Если серьезно не задуматься о своей деятельности, то эта самая деятельность непременно начнет душить само человечество. Это удушье уже началось в какой- то степени и если его не остановить  то оно моментально начнет развиваться с неимоверно быстрой скоростью.
4,4(87 оценок)
Ответ:
Кролик1922
Кролик1922
25.09.2020
А. вероятность того, что в первый раз попадется белый шар 3(белых)/5(всех). А вероятность того, что во второй раз попадется белый шар при условии, что 1 белый уже вытащили 2(белых)/4(всех). Перемножаем вероятности 3/5 * 2/4=3/10=0.3
б. вероятность того, что в первый раз попадется белый шар 3(белых)/5(всех). А вероятность того, что во второй раз попадется черный шар 2(черных)/4(всех).  Опять перемножаем 3/5 * 2/4=3/10=0.3
в. вероятность того, что в первый раз попадется черный шар 2(черных)/5(всех). А вероятность того, что во второй раз попадется белый шар 3(белых)/4(всех).  Перемножаем 2/5 * 3/4=3/10=0.3
г.* Ради интереса рассмотрим вариант 2 черных шара.
вероятность того, что в первый раз попадется черный шар 2(черных)/5(всех). А вероятность того, что во второй раз попадется черный шар, при условии, что черный уже один вытащили  1(черный)/4(всех).  Перемножаем 2/5 * 1/4=1/10=0.1.
вероятность всех исходов с двумя шарами 0.3+0.3+0.3+0.1=1.
Можно спать спокойно
4,7(60 оценок)
Новые ответы от MOGZ: Математика
logo
Вход Регистрация
Что ты хочешь узнать?
Спроси Mozg
Открыть лучший ответ