М
Молодежь
К
Компьютеры-и-электроника
Д
Дом-и-сад
С
Стиль-и-уход-за-собой
П
Праздники-и-традиции
Т
Транспорт
П
Путешествия
С
Семейная-жизнь
Ф
Философия-и-религия
Б
Без категории
М
Мир-работы
Х
Хобби-и-рукоделие
И
Искусство-и-развлечения
В
Взаимоотношения
З
Здоровье
К
Кулинария-и-гостеприимство
Ф
Финансы-и-бизнес
П
Питомцы-и-животные
О
Образование
О
Образование-и-коммуникации
YTO4KA1337
YTO4KA1337
24.04.2023 15:45 •  Математика

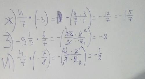
Ж)4/7*(-3) з)-9 1/3*6/7 и)4/7*(-7/8) с решением на листочке

👇
Ответ:
nastaklimenkofll
nastaklimenkofll
24.04.2023
Вот.Удачи в школе)Рада была
Ж)4/7*(-3) з)-9 1/3*6/7 и)4/7*(-7/8) с решением на листочке
4,7(55 оценок)
Открыть все ответы
Ответ:
katyunyagolubmailru
katyunyagolubmailru
24.04.2023
Всего книг          - 35 кн.                         +4 кн.
Прочитанных       - ?,           + 5 кн.       , в 2 раза больше, чем
Непрочитанных    - ?             -5 кн.           +4 кн.
1)35+4 =39 книг стало после 23.09.15 всего.
2) Пусть х кн. - непрочитанных на 23.09.15 , то  2*х - прочитанных. Зная, что всего книг 39 , составим уравнение:
х+2*х=39
3х=39
х=39:3
х= 13 - книг  непрочитанных на 23.09.15
3) 2* 13= 26  - книг  прочитанных на 23.09.15
4) 26-5 = 21 - книга прочитана на нач. 2015
ответ: 21 книгу Артур прочитал на начало 2015 г.
4,5(66 оценок)
Ответ:
катюшка309
катюшка309
24.04.2023
Всего книг          - 35 кн.                         +4 кн.
Прочитанных       - ?,           + 5 кн.       , в 2 раза больше, чем
Непрочитанных    - ?             -5 кн.           +4 кн.
1)35+4 =39 книг стало после 23.09.15 всего.
2) Пусть х кн. - непрочитанных на 23.09.15 , то  2*х - прочитанных. Зная, что всего книг 39 , составим уравнение:
х+2*х=39
3х=39
х=39:3
х= 13 - книг  непрочитанных на 23.09.15
3) 2* 13= 26  - книг  прочитанных на 23.09.15
4) 26-5 = 21 - книга прочитана на нач. 2015
ответ: 21 книгу Артур прочитал на начало 2015 г.
4,5(44 оценок)
Новые ответы от MOGZ: Математика
logo
Вход Регистрация
Что ты хочешь узнать?
Спроси Mozg
Открыть лучший ответ