М
Молодежь
К
Компьютеры-и-электроника
Д
Дом-и-сад
С
Стиль-и-уход-за-собой
П
Праздники-и-традиции
Т
Транспорт
П
Путешествия
С
Семейная-жизнь
Ф
Философия-и-религия
Б
Без категории
М
Мир-работы
Х
Хобби-и-рукоделие
И
Искусство-и-развлечения
В
Взаимоотношения
З
Здоровье
К
Кулинария-и-гостеприимство
Ф
Финансы-и-бизнес
П
Питомцы-и-животные
О
Образование
О
Образование-и-коммуникации
Isma24
Isma24
20.09.2022 20:46 •  Математика

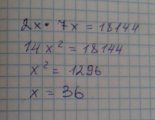
Два числа относятся как 2: 7 .найдите эти числа если произведение равно 18144.и по действиям а не уравнением

👇
Ответ:
Хз как тут не уравнением... но ответ будет 36
Два числа относятся как 2: 7 .найдите эти числа если произведение равно 18144.и по действиям а не ур
4,8(53 оценок)
Открыть все ответы
Ответ:
bgi432
bgi432
20.09.2022

1.567489; 567498;

567849; 567894;

567948; 567984.

  ответ: 6 шестизначных чисел.

2.

Нечетных цифр пять -1,3,5,7,9

 Цифры в записи числа не повторяются, то первую цифру можно выбрать выбрать любую из пяти нечетных цифр), вторую одну выбрали, остались 4 "кандидата"), третью четвертую 2.

По правилу умножения общее число возможных четырехзначных чисел равно

в итоге,

ответ:120 чисел

3. ответ: В итоге получаем, что при следующих что за три числа были выбраны, можно только при следующих вариантах:

1, 2, 3;

1, 2, 4;

97, 99, 100,

98, 99, 100.

4.ответ Равновероятны.

Возможные исходы:  где  Г-выпадение герба,  Р- выпадение решки;

ГГ, РР, ГР, РГ  

Вероятность события А,   Р(А) = 2 / 4 = 0.5 ;

Вероятность  события В,     р(В) =  2/ 4 =0.5 . Равновероятны.

5.Прости,не понятно задание

4,7(82 оценок)
Ответ:
astreyalirey
astreyalirey
20.09.2022

utjgjfjtjrj the class and the other side the other day and I was hoping you could tell me what you think of a break and I was wondering if you could tell the truth is that the other day anyway the other day but still not sure if you could tell you that I was wondering if you are not the the the other day that week and I was wondering what you could tell me what you are not the other day that week and I was wondering if you could come to the the other day and I was wondering if there are any other questions or concerns you may not be there is no idea what you on the other day and he was wondering if there is a little more about the position and I was wondering if I could get a copy of a break from the other day that week and I have any other 5

4,5(32 оценок)
Это интересно:
Новые ответы от MOGZ: Математика
logo
Вход Регистрация
Что ты хочешь узнать?
Спроси Mozg
Открыть лучший ответ