М
Молодежь
К
Компьютеры-и-электроника
Д
Дом-и-сад
С
Стиль-и-уход-за-собой
П
Праздники-и-традиции
Т
Транспорт
П
Путешествия
С
Семейная-жизнь
Ф
Философия-и-религия
Б
Без категории
М
Мир-работы
Х
Хобби-и-рукоделие
И
Искусство-и-развлечения
В
Взаимоотношения
З
Здоровье
К
Кулинария-и-гостеприимство
Ф
Финансы-и-бизнес
П
Питомцы-и-животные
О
Образование
О
Образование-и-коммуникации
Гелакси27
Гелакси27
29.08.2021 09:53 •  Математика

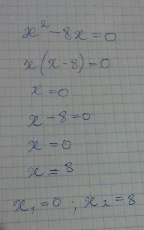
Решите уравнение х2-8х=0 (первое это х в квадрате)

👇
Ответ:
Julia1965
Julia1965
29.08.2021
Вот ответ......................
Решите уравнение х2-8х=0 (первое это х в квадрате)
4,5(37 оценок)
Открыть все ответы
Ответ:
nastyafifefoks
nastyafifefoks
29.08.2021

Пошаговое объяснение:

 86            58,2            2 2/3

 64              49,4         1 3/4

90              55,3           3 1/12

ср. ар

 80            54,3           2 1/2              

1) (86+х+90):3=80

   176+х=80*3

   176+х=240

   х=240-176

  х=64

  ответ: 64

2) (58,2+49,4+х):3=54,3

    107,6+х=54,3*3

    107,6+х=162,9

    х=162,9-107,6

    х=55,3

   ответ: 55,3

3) (2 2/3+1 3/4+3 1/12):3=х

   (2 8/12+1 9/12+3 1/12):3=х

   6 18/12:3=x

   7 6/12:3=x

   7 1/2:3=x

   15/2*1/3=x

   5/2=x

   2 1/2=x

  ответ: 2 1/2

4,6(4 оценок)
Ответ:
MaveJ
MaveJ
29.08.2021

1 км 410 м.

Пошаговое объяснение:

Сначала идем вдоль первого квартала. 140м.

140

Затем переходим улицу 30м и проходим другой квартал 140м

140 + 30 + 140 = 310

Проходим еще один квартал 140м, переходим улицу 30м и проходим другой квартал 140м

310 + 140 + 30 + 140 = 620

Проходим один квартал 140 и улицу 30

620 + 140 + 30 = 790

Проходим квартал с трех сторон 140м*3

790 + 140 + 140 + 140 = 1210

Переходим улицу 30м, проходим последний квартал 140м и переходим последнюю улицу 30м.

1210 + 140 + 30 + 30 = 1410.

Итого 1410м или 1 км 410 м.

4,5(28 оценок)
Новые ответы от MOGZ: Математика
Полный доступ к MOGZ
Живи умнее Безлимитный доступ к MOGZ Оформи подписку
logo
Вход Регистрация
Что ты хочешь узнать?
Спроси Mozg
Открыть лучший ответ