М
Молодежь
К
Компьютеры-и-электроника
Д
Дом-и-сад
С
Стиль-и-уход-за-собой
П
Праздники-и-традиции
Т
Транспорт
П
Путешествия
С
Семейная-жизнь
Ф
Философия-и-религия
Б
Без категории
М
Мир-работы
Х
Хобби-и-рукоделие
И
Искусство-и-развлечения
В
Взаимоотношения
З
Здоровье
К
Кулинария-и-гостеприимство
Ф
Финансы-и-бизнес
П
Питомцы-и-животные
О
Образование
О
Образование-и-коммуникации
ариана54091
ариана54091
07.03.2020 06:25 •  Математика

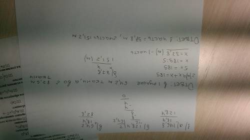
№1. в двух рулонах 146,8м ткани. причем во втором рулоне было на 18,4м больше, чем в первом. сколько метров ткани было в каждом рулоне? №2. веревку длиной 189м разрезали на две части. одна оказалась в 4 раза длиннее другой. найдите длину каждой части. №3. по железной дороге от одного города до другого – 80 км, и между ними расположены 2 станции: луговая и озерная. расстояние от города до луговой и от луговой до озерной одинаковое, а от озерной до другого города – на 8 км больше. какова длина каждого из трех перегонов?

👇
Ответ:
NEASA
NEASA
07.03.2020
Третью не смогла, возможно ошибка в цифрах,а может я просто не смогла
№1. в двух рулонах 146,8м ткани. причем во втором рулоне было на 18,4м больше, чем в первом. сколько
4,4(8 оценок)
Открыть все ответы
Ответ:
Lizamog1
Lizamog1
07.03.2020

1) 7б.- 10 000 л.

10б.-? но,на 1000 л. больше чем в 7б.

1)10 000 + 1 000 = 11 000(л) в 10б

ответ: в 10 банках - 11 000 литров молока

2) 2 булки х.-130р.

2 литра м.-100р.

2 килограмма р.-241р.

1)130+100+241=471(р) всего сколько стоит покупка

2)3900-471=3 429 (р) потратит таня.

ответ: 429 р. потратить Таня.

1) 7б.-10 000 л.

10б.-? л. но в 1 000 раз больше чем в 7 банках.

1) 10 000 * 1 000 = 10 000 000.(л) в 10 б.

ответ: 10б. = 10 000 000 л. молока.

Два варианта ответа потому что не ясно было написано в 1000 раз больше молока или на 1000 литров молока.

4,7(18 оценок)
Ответ:
danila2208
danila2208
07.03.2020

15% – отличники по математике

12% – отличники по истории и математике

Значит только по математике отличниками являются

15–12=3% группы.

34% – отличники по истории

12% – отличники по истории и математике

Следовательно только по истории отличниками являются

34–12=22% группы

"Хотя бы по одной дисциплине" значит являются отличниками по 1 или 2 дисциплинам.

Такому условию удовлетворяют

3+12+22=37% группы

p=m/n, где m – количество благоприятных исходов, n – общее количество исходов.

р=37/100=0,37 (или иначе говоря 37%)

ответ: 0,37.

4,6(33 оценок)
Это интересно:
Новые ответы от MOGZ: Математика
logo
Вход Регистрация
Что ты хочешь узнать?
Спроси Mozg
Открыть лучший ответ