М
Молодежь
К
Компьютеры-и-электроника
Д
Дом-и-сад
С
Стиль-и-уход-за-собой
П
Праздники-и-традиции
Т
Транспорт
П
Путешествия
С
Семейная-жизнь
Ф
Философия-и-религия
Б
Без категории
М
Мир-работы
Х
Хобби-и-рукоделие
И
Искусство-и-развлечения
В
Взаимоотношения
З
Здоровье
К
Кулинария-и-гостеприимство
Ф
Финансы-и-бизнес
П
Питомцы-и-животные
О
Образование
О
Образование-и-коммуникации
saruul708
saruul708
24.03.2023 18:56 •  Математика

Впервом ящике 3 белых 5 черных и 2 красных шара. во вторм ящике 2 белых 1 черный и 3 красных в третем ящике 4 белых 3 чернвх и 5 красных шаров на удачу выбрали 1 ящик из него достали 1 шар. найдите вероятность того что он белый

👇
Ответ:
tokio3
tokio3
24.03.2023
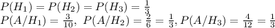
P(H_{1})=P(H_{2})=P(H_3)= \frac{1}{3} \\ P(A/H_1)= \frac{3}{10}, \ P(A/H_2)= \frac{2}{6} = \frac{1}{3} , P(A/H_3)= \frac{4}{12} = \frac{1}{3}
По формуле полной вероятности
P(A)=P(A/H_1)P(H_1)+P(A/H_2)P(H_2)+P(A/H_3)P(H_3)
P(A)=\frac{3}{10} * \frac{1}{3} +\frac{1}{3} * \frac{1}{3} +\frac{1}{3} * \frac{1}{3} = \frac{1}{10} + \frac{2}{9} = \frac{29}{90}
4,5(100 оценок)
Открыть все ответы
Ответ:
MWO
MWO
24.03.2023
ЗАПОМИНАЕМ на всю жизнь.
ЧАСТЬ от целого находим умножением на ДОЛЮ
ЦЕЛОЕ по его части находим делением на ДОЛЮ
ДОЛЮ (в процентах или без них) находим делением ЧАСТИ на ЦЕЛОЕ. 
ПРОЦЕНТ = 1/100 =0,01
РЕШЕНИЕ
1. 
а) 15*40% = 15*0,4 = 6 см - LM - ОТВЕТ
б) 15*150% = 15*1,5 = 22,5 см CD - ОТВЕТ
2,
а) 80*20% = 80*0,2 = 16 - ОТВЕТ - часть от целого - умножаем
б) 150*120% = 150 * 1,2 = 180 - ОТВЕТ
в) 150 : 120% = 150 : 1,25 - ОТВЕТ - целое по его части - делим.
г) 80 : 20% = 80 : 0,2 = 400 - ОТВЕТ
д) 28 : 35% = 28 : 0,35 = 80 - ОТВЕТ
3. Вариант 1 - в штуках
1)  20 шт * 40% = 20*0,4= 8 шт - в будни
2) 20 - 8 = 12 шт -  осталось на выходные.
3) 12 шт * 25% = 12 * 0,25 = 3 шт -  в выходные - ОТВЕТ
3. Вариант 2 - в частях
1) 100 - 40 = 60 (%) - часть осталась на выходные
2) 60% * 25% = 0,6*0,25 = 0,15 = 15% - часть за выходные
3) 20 шт * 0,15 = 3 шт - в выходные - ОТВЕТ
4. Круговая диаграмма
Всего учеников - 8 + 15 + 13 = 36 чел
Угол на диаграмме на 1 чел 
α = 360° : 36 = 10 °/чел
Расчет и диаграмма в приложении.

1.начертите отрезок pk, длина которого 15 см. постройте а) отрезок lm, длина которого составляет 40%
4,6(99 оценок)
Ответ:
KATE4213
KATE4213
24.03.2023

Сначала находим НОД 12 и 15

12=2*2*3                      15=3*5

НОД(12,15) = 3

Теперь находим НОК 31 и 2

31=31

2=2

Это взаимно простые числа, поэтому, чтобы найти НОК мы 31 умножаем на 2

31*2=62

НОК(31,2) = 62

И теперь переходим к нахождению двух неизвестных чисел

1 число- х

2 число-y

х:y=3                   x=3y

x-y=62                x=62+y

3y=62+y

3y-y=62

2y=62

y=62:2

y=31

Мы получили 31. Это и есть второе число, сейчас находим первое.

31*3=93

93-31=62

У нас все сошлось, значит, правильно, 93-первое число

ответ: 93 и 31

4,6(96 оценок)
Это интересно:
Новые ответы от MOGZ: Математика
logo
Вход Регистрация
Что ты хочешь узнать?
Спроси Mozg
Открыть лучший ответ