М
Молодежь
К
Компьютеры-и-электроника
Д
Дом-и-сад
С
Стиль-и-уход-за-собой
П
Праздники-и-традиции
Т
Транспорт
П
Путешествия
С
Семейная-жизнь
Ф
Философия-и-религия
Б
Без категории
М
Мир-работы
Х
Хобби-и-рукоделие
И
Искусство-и-развлечения
В
Взаимоотношения
З
Здоровье
К
Кулинария-и-гостеприимство
Ф
Финансы-и-бизнес
П
Питомцы-и-животные
О
Образование
О
Образование-и-коммуникации
AlyonaAn
AlyonaAn
14.03.2022 19:34 •  Математика

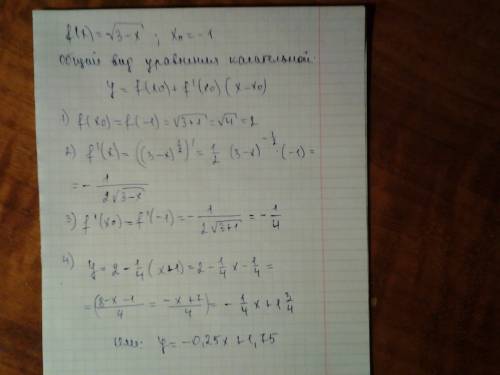
Составьте уравнение касательной к графику функции f (x )=√3-x в точке с абциссой x 0 =-1

👇
Ответ:
Применен общий вид уравнения касательной
Составьте уравнение касательной к графику функции f (x )=√3-x в точке с абциссой x 0 =-1
4,6(9 оценок)
Открыть все ответы
Ответ:
Sofia667
Sofia667
14.03.2022
Для нахождения экстремума функции нескольких переменных необходимо:
1) найти частные производные
2) приравнять их к нулю и составить систему из получившихся уравнений
3) найти решение этой системы - стационарную точку или точки
4) определить характер этой точки - точка максимума, минимума или седловая точка.

1) находим частные производные
z_x'=4x+5y+1
z_y'=5x+10y-5

2) приравнять их к нулю и составить систему из получившихся уравнений
\left \{ {4x+5y+1=0} \atop {5x+10y-5=0}} \right.

3) найти решение этой системы
\left \{ {4x+5y=-1} \atop {5x+10y=5}} \right.
\left \{ {8x+10y=-2} \atop {5x+10y=5}} \right.
\left \{ {3x=-7} \atop {5x+10y=5}} \right.
\left \{ {x=- \frac{7}{3} } \atop {-5* \frac{7}{3}+10y=5}} \right.
\left \{ {x=- \frac{7}{3} } \atop {10y= \frac{50}{3} }} \right.
\left \{ {x=- \frac{7}{3} } \atop {y= \frac{5}{3} }} \right.
Стационарная точка - (-7/3,5/3)

4) определить характер этой точки - точка максимума, минимума или седловая точка.
Для определения характера стац. точки составим гессиан - матрицу частных производных второго порядка. 
Если гессиан состоит из констант, то функция имеет один глобальный экстремум.
Если главные миноры матрицы положительные, то точка является точкой минимума.
Если знаки главных миноров матрицы чередуются, начиная с минуса, то точка является точкой максимума.

z_{xx}''=4
z_{xy}''=z_{yx}''=5
z_{yy}''=10

H= \left[\begin{array}{cc}4&5\\5&10\end{array}\right]
H_1=4
H_2=4*10-5*5=40-25=15

Главные миноры гессиана строго положительные, а сам гессиан состоит из констант. Из этого можно сделать следующий вывод:

в точке (-7/3,5/3) функция имеет глобальный минимум.
4,8(90 оценок)
Ответ:
sahverdijevelme1
sahverdijevelme1
14.03.2022
Если разница этих чисел больше 700, то она начинается на 7,8 или 9.
Пусть первое число по цифрам - abc, и оно больше, а второе - cba. Тогда a>c (раз всё число больше). Представим числа по разрядам и попробуем выразить разницу:
(100a + 10b + c) - (100c + 10b + a) = 100(a-c) + 10 (b-b) + (c-a)
Однако если записывать по цифрам, то будет не (a-c)0(c-a), ведь c-a отрицательно и надо, как при вычитании в столбик, занимать разряды:
100(a-c) + 10 (b-b) + (c-a) = 100(a-c) + 10 (b-b-1) + (10+с-а) = 100(a-c-1) + 10 (9+b-b) + (10+с-а) = 100(a-c-1) + 10*9 + (10+с-а)
Итак, у получившейся разности а-с-1 сотен, 9 десятков и 10+с-а единиц.
Ещё мы знаем, что b=(a+c)/2
Отсюда a+c = 2b, т.е. сумма этих цифр чётна. Такое возможно, или если обе они чётны, или обе нечётны. Нам это пока не столь важно, важно то, что в таком случае и их разность а-с чётна, а число а-с-1, в свою очередь, нечётна.
Итак, а-с-1 нечётно и равно 7,8 или 9. Очевидно, что не 8 и не 9 (этот вариант отпадает, т.к. 9+1=10 и значит разность ЦИФР больше 10, что невозможно). Остаётся 7.
а-с-1=7
а-с=8
Единственный возможный с цифрами вариант - а=9 с=1 (естественно, игнорируем случай с с=0, ведь тогда второе число не будет трёхзначным). 
Тогда b=(a+c)/2 = (9+1)/2 = 5
Числа 951 и 159, их разность 951-159 = 792
Можно проверить и наш расчёт:
100(a-c-1) + 10*9 + (10+с-а) = 100(9-1-1) + 10*9 + (10+1-9) = 700 + 90 + 2 = 792
Спрашивайте, если непонятно
4,6(76 оценок)
Это интересно:
Новые ответы от MOGZ: Математика
logo
Вход Регистрация
Что ты хочешь узнать?
Спроси Mozg
Открыть лучший ответ