



1) 1) 9-2\3=8 3\3-2\3=8 1\3
2) 8 1\3+6 7\24=8 8\24+ 6 7\24=14 15\24=14 5\8
3) 14 5\8-2 1\4=14 5\8-2 2\8=12 3\8
2) 1) 8 13\30+13 4\5=8 13\30+ 13 24\30=21 37\30
2) 21 37\30- 5 5\6= 21 37\30-5 25\30=16 12\30
3) 16 12\30+ 7\10= 16 12\30+ 21\30=16 33\30=17 3\30=17 1\10
3) 1) 17 3\4-9 1\32=17 24\32-9 1\32=8 23\32
2) 8 23\32+ 4 3\8=8 23\32+4 12\32=12 35\32
3) 12 35\32- 5 3\16=12 35\32-5 6\32=7 29\32
4) 1) 21 4\15+ 1 5\6=21 8\30+ 1 25\30=22 33\30
2) 22 33\30-9 7\30=15 26\30
3) 15 26\30+ 16 7\24=15 104\120+ 16 35\120=31 139\120=32 19\120
Исправляем опечаточку в вопросе.
ДАНО: f(x) = x² - 2*x - 8
Пошаговое объяснение:
Для построения графика.
1) Точки пересечения оси ОХ - решаем квадратное уравнение.
D = b² - 4*a*c = (-2)² - 4*(1)*(-8) = 36 - дискриминант. √D = 6.
Вычисляем корни уравнения.
x₁ = (-b+√D)/(2*a) = (2+6)/(2*1) = 8/2 = 4 - первый корень
x₂ = (-b-√D)/(2*a) = (2-6)/(2*1) = -4/2 = -2 - второй корень
4 и -2 - корни уравнения - нули функции.
2) Пересечение с осью ОУ. f(0) = - 8.
3) Минимальное значение.
а) силой Разума. Вершина посередине между нулями.
х = (4 + (-2))/2 = 1.
б) через первую производную.
f'(x) = 2*x - 2 = 2*(x-1) = 0.
x = 1 - точка экстремума.
f(1) = 1² - 2 - 8 = - 9 - локальный экстремум.
4) Область значений.
E(f) = (-9;+∞) - ответ.
5) Возрастает: х = (1;+ ∞) - ответ.
6) Отрицательная функция - между нулями функции.
f(x) < 0 при Х∈(-2;4) - ответ.
Рисунок с графиком функции в приложении.
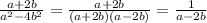
1)a+2b/a^2-4b^2=a+2b/(a-2b)(a+2b) = 1/a-2b
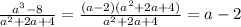
2)a^3-8/(a^2+2a+4)=(a-2)(a^2+2a+4)/a^2+2a+4 = a-2
3)x^3+1/x^2-x+1=(x+1)(x^2-x+1)/x^2-x+1 = x+1