М
Молодежь
К
Компьютеры-и-электроника
Д
Дом-и-сад
С
Стиль-и-уход-за-собой
П
Праздники-и-традиции
Т
Транспорт
П
Путешествия
С
Семейная-жизнь
Ф
Философия-и-религия
Б
Без категории
М
Мир-работы
Х
Хобби-и-рукоделие
И
Искусство-и-развлечения
В
Взаимоотношения
З
Здоровье
К
Кулинария-и-гостеприимство
Ф
Финансы-и-бизнес
П
Питомцы-и-животные
О
Образование
О
Образование-и-коммуникации
diduhalinamal
diduhalinamal
22.01.2021 00:52 •  Математика

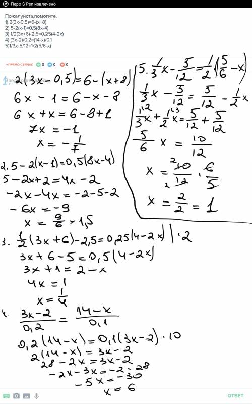
1) 2(3х-0,5)=6-(х+8) 2) 5-2(х-1)=0,5(8х-4) 3) 1/2(3х+6)-2,5=0,25(4-2х) 4) (3х-2)/0,2=(14-х)/0,1 5)1/3х-5/12=1/2(5/6-х)

👇
Ответ:
daniilznanija0
daniilznanija0
22.01.2021
1) 2(3х-0,5)=6-(х+8) 2) 5-2(х-1)=0,5(8х-4) 3) 1/2(3х+6)-2,5=0,25(4-2х) 4) (3х-2)/0,2=(14-х)/0,1 5)1/
4,6(90 оценок)
Ответ:
eremitsa2011
eremitsa2011
22.01.2021
1
6x-1=6-x-8
6x+x=-2+1
7x=-1
x=-1/7
2
5-2x+2=4x-2
-2x-4x=-2-7
-6x=-9
x=1,5
3
1,5x+3-2,5=1-0,5x
1,5x+0,5x=1-0,5
2x=0,5
x=0,25
4
15x-10=140-10x
15x+10x=140+10
25x=150
x=6
5
1/3x-5/12=5/12-1/2x
1/3x+1/2x=5/12+5/12
5/6x=5/6
x=1
4,7(5 оценок)
Открыть все ответы
Ответ:
Юлия19112006
Юлия19112006
22.01.2021
Начнём с выносливости.

Одним из самых выносливых людей на планете с уверенностью можно назвать Пэдди Дойла из Англии. У него на счету - 55 мировых рекордов Гиннесса в области выносливости. Вот некоторые из них: самое большое количество отжиманий на одной руке за один календарный год; первое место в марафоне с рюкзаком весом в пятнадцать килограммов; 1868 отжиманий на одной руке за один час.

Ловкачей на свете немало. Мой выбор пал на всеми известного и многими любимого актера, каскадёра, филантропа и просто хорошего человека с поразительной силой, выносливостью и ловкостью - Джеки Чана. Много чего мы могли наблюдать во время просмотра кинофильмов с его участием. Но мало кот знает, что, например, во время съёмок "третьих доспехов Бога" Джеки удостоился двух сертификатов Кгниги рекордов Гиннесса.

Также, очень хочется напомнить о великом Александре Зассе, чью методику спустя почти столетие активно используют молодые спортсмены для развития и укрепления организма. Засс прославился своей нереальной силой. Он мог удерживать двух лошадей согнутыми руками, рвал металлическиие цепи, гнул подковы и так далее. Основа его тренировок - упражнения на укрепление сухожилий, которые по его словам, являются базой для наращивания мышц и увеличения силы и выносливости, соответственно.
4,4(24 оценок)
Ответ:
нара123
нара123
22.01.2021
Начнём с выносливости.

Одним из самых выносливых людей на планете с уверенностью можно назвать Пэдди Дойла из Англии. У него на счету - 55 мировых рекордов Гиннесса в области выносливости. Вот некоторые из них: самое большое количество отжиманий на одной руке за один календарный год; первое место в марафоне с рюкзаком весом в пятнадцать килограммов; 1868 отжиманий на одной руке за один час.

Ловкачей на свете немало. Мой выбор пал на всеми известного и многими любимого актера, каскадёра, филантропа и просто хорошего человека с поразительной силой, выносливостью и ловкостью - Джеки Чана. Много чего мы могли наблюдать во время просмотра кинофильмов с его участием. Но мало кот знает, что, например, во время съёмок "третьих доспехов Бога" Джеки удостоился двух сертификатов Кгниги рекордов Гиннесса.

Также, очень хочется напомнить о великом Александре Зассе, чью методику спустя почти столетие активно используют молодые спортсмены для развития и укрепления организма. Засс прославился своей нереальной силой. Он мог удерживать двух лошадей согнутыми руками, рвал металлическиие цепи, гнул подковы и так далее. Основа его тренировок - упражнения на укрепление сухожилий, которые по его словам, являются базой для наращивания мышц и увеличения силы и выносливости, соответственно.
4,6(65 оценок)
Новые ответы от MOGZ: Математика
logo
Вход Регистрация
Что ты хочешь узнать?
Спроси Mozg
Открыть лучший ответ