М
Молодежь
К
Компьютеры-и-электроника
Д
Дом-и-сад
С
Стиль-и-уход-за-собой
П
Праздники-и-традиции
Т
Транспорт
П
Путешествия
С
Семейная-жизнь
Ф
Философия-и-религия
Б
Без категории
М
Мир-работы
Х
Хобби-и-рукоделие
И
Искусство-и-развлечения
В
Взаимоотношения
З
Здоровье
К
Кулинария-и-гостеприимство
Ф
Финансы-и-бизнес
П
Питомцы-и-животные
О
Образование
О
Образование-и-коммуникации

Найдите область определения функции у=3х-х^2+18/х+1

👇
Ответ:
kseniya1276
kseniya1276
14.11.2021
Знаменатель не может быть равен нулю:
x + 1 ≠ 0
x ≠ -1

D(y) = (-∞; -1) U (-1; +∞). 
4,5(22 оценок)
Ответ:
alesia4
alesia4
14.11.2021
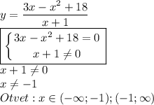
y=\dfrac{3x-x^2+18}{x+1}\\\boxed{ \left \{ {{3x-x^2+18=0} \atop {x+1\neq0}} \right. }\\x+1\neq0\\x\neq-1\\Otvet:x\in(-\infty;-1);(-1;\infty)
4,5(23 оценок)
Открыть все ответы
Ответ:
andreykotov6
andreykotov6
14.11.2021
Кожен з нас майже щодня буває в магазинах, великих і малих, продуктових і спорттоварних. І кожен день (ну, або майже кожен день) ми бачимо, як люди, потрапивши в магазин, поводяться негідно. Іноді ми й самі здійснюємо такі помилки, адже так? Але існують певні правила поведінки в магазині, які допомагають виправити проблему.                          1. Перш, ніж зайти в магазин, потрібно пропустити тих, хто виходить;
2. Якщо хтось заходить за вами, потрібно притримати двері;
3. Ні в якому разі не можна палити в магазині, хоча прецеденти бувають;
4. В магазині нічого робити домашнім тваринам, навіть, якщо ви їх дуже любите;
5. Не варто чіпати продукти, які не упаковані. Хліб, фрукти та інше - вони не дуже люблять, коли їх тиснуть руками, мнуть і мало не на зуб пробують;
6. Штовхатися в магазині не варто. Це ознака безкультур'я. Звичайно, якщо ви випадково когось штовхнули, нічого страшного, вибачтеся, і інцидент вичерпано. Але спеціально штовхати людину - це некрасиво. Уявіть, якби вас хтось почав штовхати;
7. Якщо продавець розмовляє з іншим покупцем, або рахує гроші, не заважайте йому, дайте закінчити;
8. Якщо ви стоїте в черзі, наприклад, за м'ясом, то придумайте заздалегідь, що саме ви будете брати. Чомусь зазвичай прийнято починати думати вже тоді, коли ви виявилися першими близько продавця. І природно, всі ці роздуми затримують всю іншу чергу;
9. Звертайтеся до продавців ввічливо, без нахабства і грубості. Інакше і продавець може не зовсім адекватно відповісти;
10. Намагайтеся дбайливо ставитися до товарів, неважливо, одяг це чи продукти харчування;
11. Якщо ви знаєте суму покупки, постарайтеся приготувати необхідну суму наперед.
4,6(56 оценок)
Ответ:
gulkogulkovno
gulkogulkovno
14.11.2021
Ніколи не перевіряй товщину льоду ударами ніг!

Під час руху по льоду слідкуй за його поверхнею, обходь небезпечні місця та ділянки з кущами і травою. Особливу обережність проявляй у місцях зі швидкою течією, джерелами, струмками та теплими стічними водами підприємств. Якщо лід недостатньо міцний, негайно зупинися і повертайся назад тим же шляхом, роблячи перші кроки без відриву від його поверхні.

Спробуємо з’ясувати, що трапляється з людиною, яка опинилася в холодній воді

У людини в крижаній воді перехоплює дихання, голову ніби здавлює залізний обруч, серце скажено б'ється. Щоб захиститися від смертоносного холоду, організм включає захист – починається сильне тремтіння. За рахунок цього організм зігрівається, але через деякий час і цього тепла стає недостатньо. Коли температура шкіри знижується до 30 градусів, тремтіння припиняється і організм дуже швидко охолоджується. Дихання стає все рідше, пульс сповільнюється, тиск падає. Смерть людини, що несподівано опинилася в холодній воді, наступає найчастіше через шок, що розвивається протягом перших 5–15 хвилин після занурення у воду або порушення дихання.
4,6(95 оценок)
Это интересно:
Новые ответы от MOGZ: Математика
Полный доступ к MOGZ
Живи умнее Безлимитный доступ к MOGZ Оформи подписку
logo
Вход Регистрация
Что ты хочешь узнать?
Спроси Mozg
Открыть лучший ответ