М
Молодежь
К
Компьютеры-и-электроника
Д
Дом-и-сад
С
Стиль-и-уход-за-собой
П
Праздники-и-традиции
Т
Транспорт
П
Путешествия
С
Семейная-жизнь
Ф
Философия-и-религия
Б
Без категории
М
Мир-работы
Х
Хобби-и-рукоделие
И
Искусство-и-развлечения
В
Взаимоотношения
З
Здоровье
К
Кулинария-и-гостеприимство
Ф
Финансы-и-бизнес
П
Питомцы-и-животные
О
Образование
О
Образование-и-коммуникации
AndrewGuyGuyson
AndrewGuyGuyson
03.12.2020 04:51 •  Математика

Решить интеграл ∫√lndx , где пределы интегрирования от 1 до е^2

👇
Ответ:
Lila08564
Lila08564
03.12.2020
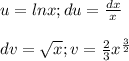
\int\limits^{e^2}_1 { \sqrt{x} lnx} \, dx
Интегрируем по частям:
u=lnx; du= \frac{dx}{x} \\ \\ dv= \sqrt{x}; v= \frac{2}{3} x^{ \frac{3}{2} } }

\int\limits^{e^2}_1 { \sqrt{x} lnx} \, dx =lnx*\frac{2}{3} x^{ \frac{3}{2}}}|_{1}^{e^2}-\int\limits^{e^2}_1 { \frac{2}{3} x^{ \frac{3}{2}}}* \frac{1}{x} } \, dx=lnx*\frac{2}{3} x^{ \frac{3}{2}}}|_{1}^{e^2}-\int\limits^{e^2}_1 { \frac{2}{3} x^{ \frac{1}{2}}}} \, dx

=lnx*\frac{2}{3} x^{ \frac{3}{2}}}|_{1}^{e^2}- \frac{4}{9} x^{ \frac{3}{2}}|_{1}^{e^2}=\frac{2}{3} x^{ \frac{3}{2}} (lnx - \frac{2}{3} )|_{1}^{e^2}=

=\frac{2}{3} e^{2* \frac{3}{2}} (lne^2 - \frac{2}{3} )-\frac{2}{3} 1^{\frac{3}{2}} (ln1 - \frac{2}{3} )=\frac{2}{3} e^{3}(2- \frac{2}{3})-\frac{2}{3}(0-\frac{2}{3})=

=\frac{2}{3} e^{3}\frac{4}{3} + \frac{2}{3}\frac{2}{3}= \frac{8}{9} e^{3}+ \frac{4}{9} =\frac{4}{9}(2e^{3} + 1)

≈18.298255
4,7(19 оценок)
Открыть все ответы
Ответ:
tinkimolko
tinkimolko
03.12.2020
Дюшка тягунов живет в небольшом поселке куделино на северной реке. прожил он на свете уже 13 лет и образцово-показательным мальчиком не был, учился кое-как, но этой весной мир стал играть с ним в перевертыши: наслушавшись разговоров старшего друга об атомах, времени, пространстве, возможности восстановиться когда-нибудь после смерти в прежнем виде, он вдруг решил, что его соседка римка есть не кто иная, как наталья гончарова, жена пушкина.дюшка осознал свою индивидуальность, задумался над устройством мира, который был, по мнению дюшки, прекрасным. вот только санька, любивший мучить кошек и убивать лягушек, был явно из другого мира. дюшка взрослых, что рядом живет зло. поняли, только когда санька тяжело ранил ножом миньку, бесстрашного маленького друга дюшки. напрасно не поверили раньше чуткому мироощущению мальчика. фильм основан на хорошем материале, хорошо поставлен и сыгран, выходит за рамки обычного детского кино. удачно создан дуровым образ местного непризнанного "гения", жена которого устала жить только "духовным" в ущерб всему материальному, захотев иметь чистые простыни, вкусные пироги и курточку для сына.
4,8(58 оценок)
Ответ:
Ксюшка221
Ксюшка221
03.12.2020
Добро  — понятие нравственности, означающее  намеренное стремление  к бескорыстной ближнему, а также незнакомому человеку, животному и даже растению. в житейском смысле этот термин относится ко всему, что получает у людей положительную оценку, либо ассоциируется со счастьем и радостью.   зло  — понятие нравственности, означает  намеренное, умышленное, сознательноепричинение кому-либо вреда, ущерба, страданий.  в житейском смысле зло относят ко всему, что получает у людей отрицательную оценку, порицается ими, противоречит правилам морали.   
4,5(32 оценок)
Новые ответы от MOGZ: Математика
logo
Вход Регистрация
Что ты хочешь узнать?
Спроси Mozg
Открыть лучший ответ