Вход
Регистрация
Спроси Mozg AI
М
Молодежь
К
Компьютеры-и-электроника
Д
Дом-и-сад
С
Стиль-и-уход-за-собой
П
Праздники-и-традиции
Т
Транспорт
П
Путешествия
С
Семейная-жизнь
Ф
Философия-и-религия
Б
Без категории
М
Мир-работы
Х
Хобби-и-рукоделие
И
Искусство-и-развлечения
В
Взаимоотношения
З
Здоровье
К
Кулинария-и-гостеприимство
Ф
Финансы-и-бизнес
П
Питомцы-и-животные
О
Образование
О
Образование-и-коммуникации
.....больше.....
..меньше..
Анастасияя12345
10.03.2020 17:09 •
Математика
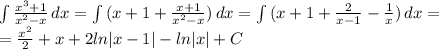
∫((x^3+1)/(x^2-x))dx найти интеграл
👇
Увидеть ответ
Ответ:
ВулканчикD
10.03.2020
4,5
(62 оценок)
Открыть все ответы
Ответ:
Милошка28
10.03.2020
Число, сумма цифр которого делится на 3 без остатка, делится на 3
число, сумма цифр которого делится на 9 без остатка, делится на 9
591: 5+9+1=15 15:3=5 - 591 кратно 3
15 не делится на 9 - 591 не кратно
253: 2+5+3=10 10 не делится ни на 9, ни на 3, значит 253 не кратно 9 и 3
417: 4+1+7=12 12:3=4 - 417 кратно 3
12 не делится на 9 - 417 не кратно 9
648: 6+4+8=18 18:3=6 - 648 кратно 3
18:9=2 - 648 кратно 9
639: 6+3+9=18 18:3=6 - 639 кратно 3
18:9=2 - 639 кратно 9
346: 3+4+6=13 13 не делится ни на 3, ни на 9, значит 346 не кратно 9 и 3
4,5
(47 оценок)
Ответ:
bolatzarina
10.03.2020
1) Пусть х см³ объем 1й части, тогда 6х см³ объем 2й части. Весь объем равен 89 см³.
Составим уравнение:
х+6х=89
7х=89
х=89:7
х=12 5/7 см³ объем 1й части
12 5/7*6=89/7*6=534/7=76 2/7 см³ объем 2й части
ответ: 12 5/7 см³ и 76 2/7 см³
Проверка: 12 5/7+76 2/7=88 7/7=89
2) Пусть х см³ объем 1й части, тогда (х+40) см³ объем 2й части. Весь объем равен 89 см³.
Составим уравнение:
х+(х+40)=89
х+х+40=89
2х=89-40
2х=49
х=49:2
х=24 1/2 см³=24,5 см³ объем 1й части
24 1/2+40=64 1/2 см³=64,5 см³ объем 2й части
ответ: 24 1/2 см³ и 64 1/2 см³ или 24,5 см³ м 64,5 см³
Проверка: 24 1/2+64 1/2=88 2/2=89
24,5+64,5=89
4,8
(66 оценок)
Это интересно:
Д
Дом-и-сад
27.05.2023
Основы электротехники: Как разрядить конденсатор...
З
Здоровье
01.09.2021
Как отвлечь себя от голода: полезные советы...
К
Кулинария-и-гостеприимство
23.10.2021
Как приготовить баннок: легкий и вкусный рецепт...
К
Кулинария-и-гостеприимство
11.11.2022
Сладкий рецепт: американские панкейки с нутеллой...
К
Кулинария-и-гостеприимство
04.04.2021
Как готовить только для себя: полезные советы и рецепты...
Д
Дом-и-сад
23.11.2020
Как навести порядок в гараже: полезные советы от специалистов...
Т
Транспорт
08.01.2020
Как рассчитать первоначальный взнос за автомобиль...
О
Образование-и-коммуникации
10.06.2022
Заставьте свой мозг работать на 100%: как повысить продуктивность обучения...
З
Здоровье
01.06.2020
Сбалансированная диета: советы для тех, кто хочет оставаться здоровым и энергичным...
К
Кулинария-и-гостеприимство
13.01.2020
10 лучших советов: как запекать мясо...
Новые ответы от MOGZ: Математика
марусяice1
14.03.2023
Составь уравнение по задачам реши их...
Olga200393
11.01.2020
Решите все правильно и и побыстрее...
kriwonos
26.01.2020
УМОЛЯЮ ПОМАГИТЕ УМОЛЮ . Постройте отрезки, симметричные отрезкам EF и PK относительно прямой а....
igrik25
24.09.2021
5/7*(21/20-7/20)+16/21:8/7 разложить по действиям...
kekmanchik
19.02.2023
Решите Первое часть трёхзначного числа равна 8. Если это число поставить на последнее место,то оно увеличится на 18. Найдите это трёхзначное число....
ВикаKull
10.04.2021
1) f(x)=2 корня x +x^4 . Найдите: f (1) Выберите один ответ: a. 7 b. 3 c. 6 d. 5 e. 2 2) f(x)=x^2-2/x^2+2 Найдите: f (1) Выберите один ответ: a. 1/4 b. 2 c. 4 d. 8/9 3)...
DPAKOSHKA
15.10.2020
Ставлю Пример решить с остатком! 986 : 8...
xXMaRoXx
14.08.2022
Определи аналитический зависимости, заданной табличным...
katrin7878
09.01.2023
Приведите примеры конечных и бесконечных множеств. В каком случае множество А называют подмножеством мно- жества В? Приведите примеры....
вау39
30.06.2022
2+2+2+2+2+2+2+2+22-20+2+2+2+2 +2...
MOGZ ответил
Периметр рівнобедреного трикутника дорівнює 40 см. Його бічна сторона...
1. В прямоугольном треугольнике ABC угол C= 90°, гипотенуза с равна 9/2...
решить задачи,и нарисовать рисунок....
Заполни таблицу достижений, распределив, что и куда относится. Наука...
тема теорема фалеса, 1 задание...
.В каком году вышла в свет первая книга романа Абай ?2.Кто является героем...
4. Площадь прямоугольного участка земли равна (х2-14х+40) м2. а) х2-14х+40=(х+а)(х+b)....
Мәтінді мұқият оқыңыз. Нақты ақпараттарды анықтаңыз, мәтін бойынша көшпенділер...
Эта река является главной рекой, а не притоком. Эта река является левым...
Постройте график зависимости силы упругости от модуля деформации: Fупр(ΔХ...
Полный доступ к MOGZ
Живи умнее Безлимитный доступ к MOGZ
Оформи подписку
О НАС
О нас
Блог
Условия пользования
Авторское право
Политика конфиденциальности
Предпочтения cookie-файлов
ПОМОЩЬ
Зарегистрируйся
Центр помощи
Центр безопасности
App
Вход
Регистрация
Что ты хочешь узнать?
Спроси Mozg
Открыть лучший ответ
×