М
Молодежь
К
Компьютеры-и-электроника
Д
Дом-и-сад
С
Стиль-и-уход-за-собой
П
Праздники-и-традиции
Т
Транспорт
П
Путешествия
С
Семейная-жизнь
Ф
Философия-и-религия
Б
Без категории
М
Мир-работы
Х
Хобби-и-рукоделие
И
Искусство-и-развлечения
В
Взаимоотношения
З
Здоровье
К
Кулинария-и-гостеприимство
Ф
Финансы-и-бизнес
П
Питомцы-и-животные
О
Образование
О
Образование-и-коммуникации
228466
228466
19.03.2020 14:07 •  Математика

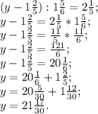
(у-1 2/5): 1 5/6=2 1/5 решите кто решит правильно и поставлю лучший ответ за внимание! / этот знак означает дробь

👇
Ответ:
ishnlv
ishnlv
19.03.2020
(y-1 \frac{2}{5}):1 \frac{5}{6} =2 \frac{1}{5} ; \\ 
y-1 \frac{2}{5}=2 \frac{1}{5} *1 \frac{5}{6} ; \\ 
y-1 \frac{2}{5}= \frac{11}{5} * \frac{11}{6} ; \\ 
y-1 \frac{2}{5}= \frac{121}{6}; \\ 
 y-1 \frac{2}{5}=20 \frac{1}{6}; \\ 
y= 20 \frac{1}{6}+1 \frac{2}{5}; \\ 
y=20 \frac{5}{30}+1 \frac{12}{30}; \\ 
y=21 \frac{17}{30} .
4,4(66 оценок)
Открыть все ответы
Ответ:
ffinparnisha
ffinparnisha
19.03.2020

Задание 1. Чему равна разность 738 621 - 239 507?

738 621 - 239 507 = 499 114

ответ: 499 114

Задание 2. Чему равна сумма 2 ч 36 мин + 6ч 48 мин?

1 ч = 60 мин

2 ч 36 мин = 2 * 60 + 36 = 120 + 36 = 156 мин

6 ч 48 мин = 6 * 60 + 48 = 360 + 48 = 408 мин

2 ч 36 мин + 6 ч 48 мин = 156 мин + 408 мин = 564 мин = 9 ч 24 мин

ответ: 9 ч 24 мин

Задание 3. В виде какого равенства можно записать то, что число m на 18 меньше числа n

A) m - n = 19 Б) m + n = 18 B) n - m = 18 Г) m = n +18

n - m = 18 или n - 18 = m

ответ: В

Задание 4. Чему равен корень уравнения (x - 63) + 105 = 175?

A) 133 Б) 7 B) 343 Г) 217

(x - 63) + 105 = 175

х - 63 = 175 - 105

х - 63 = 70

х = 70 + 63

х = 133

ответ: А

Задание 5. Укажите верное утверждение

а) угол, который больше острого угла - тупой

б) угол, который меньше тупого угла - прямой

в) любой острый угол меньше тупого угла

г) угол, который больше прямого угла - развернутый

а - развёрнутый или прямой угол тоже больше острого угла

б - острый угол тоже меньше тупого угла

в - верно

г - тупой угол тоже больше прямого угла

ответ: в

Задание 6. Одна сторона прямоугольника равна 8 см, а соседние на 7 см больше. Чему равен периметр прямоугольника?  

A) 15 см Б) 3O см B) 23 см Г) 46 см

8 + 7 = 15 см - длина прямоугольника

8 см - ширина прямоугольника

P прямоугольника = (a + b) * 2, где а,b - стороны прямоугольника

(15 + 8) * 2 = 46 см - периметр

ответ: Г

Задание 7. На выполнение домашнего задания ученик потратил 2 ч 15 мин. При этом задание по русскому языку и математике он выполнял 40 мин, задание по истории - 25 мин. А остальное время - задание по англ.яз. Сколько времени ушло на выполнения задания по английскому языку?  

40 + 25 = 65 мин - выполнял задания по русскому языку, математике и истории

1 ч = 60 мин

2 ч 15 ин = 2 * 60 + 15 = 120 + 15 = 135 мин

135 - 65 = 70 мин = 1 ч 10 мин - выполнял задания по английскому

ответ: 1 ч 10 мин

Задание 8. Квадрат со стороной 12 см и прямоугольник, одна из сторон которого равна 10 см, имеют равные периметры. Чему равна неизвестная сторона прямоугольника?

P квадрата = 4 * а, где а - сторона квадрата

4 * 12 = 48 см - периметр квадрата

P прямоугольника = (a + b) * 2, где а,b - стороны прямоугольника

Пусть х см - одна сторона прямоугольника, 10 см - другая сторона прямоугольника. Периметр равен 48 см. Составим уравнение.

(х + 10) * 2 = 48

х + 10 = 48 : 2

х + 10 = 24

х = 24 - 10

х = 14

14 см - одна из сторон прямоугольника

ответ: 14 см

Задание 9. При каком значении а верно равенство a + a = a - a

A) при любом значении a Б) Такого значения a не существует B) При а = 0 Г) при a = 1

а - неверно. Например, пусть а = 2

2 + 2 ≠ 2 - 2

4 ≠ 0

б - неверно

в - верно

0 + 0 = 0 - 0

0 = 0

г - неверно

1 + 1 ≠ 1 - 1

2 ≠ 0

ответ: В

Задание 10. Класс в котором 30 учащихся пришёл на экскурсию в музей. Входной билет для одного учащегося стоит a рублей, а за сопровождения группы экскурсоводам надо заплатить дополнительно 450 рублей. Укажите формулу для вычисления общей стоимости экскурсии

.

A) b = a + 450 руб Б) b = 30a + 450 руб B) b = 30(a + 450) руб Г) b = 450a + 30 руб

30а руб - отдадут за входной билет всем ребятам

30а + 450 руб - общая стоимость экскурсии

ответ: Б

4,4(24 оценок)
Ответ:
Maer12
Maer12
19.03.2020
1)  3 2/3 = 11/3. Значит обратное отношение будет - 3/11.
2) "Разметим" доску на части 7 и 4. Всего частей будет 11.Отношение большой части к полной длине будет  7/11. Вторая часть будет 4/11.
3а)  х : 2 = 1/2 :5 - умножаем обе части уравнения  на 2 и получаем х= 1/5.
3б)  3/4 = х +2/8  или  х= 6/8 - 2/8 = 4/8 =1/2. При переносе на другую сторону равенства меняется знак на противоположный
4) Сразу делим 12 кг на 3 банки и умножаем на 8 банок.
Получим 12/3*8 = 4*8 = 32 кг.
5) Всего в ленте  3 и 5 = 8 частей. Меньший отрезок  - 3 части.
Длина 1 части =36/3 = 12 см.
Вся лента = 8 частей - 12*8 = 96 см. Или  в одно действие - 36 см /3*8 = 96 см. 
4,7(26 оценок)
Это интересно:
Новые ответы от MOGZ: Математика
logo
Вход Регистрация
Что ты хочешь узнать?
Спроси Mozg
Открыть лучший ответ