М
Молодежь
К
Компьютеры-и-электроника
Д
Дом-и-сад
С
Стиль-и-уход-за-собой
П
Праздники-и-традиции
Т
Транспорт
П
Путешествия
С
Семейная-жизнь
Ф
Философия-и-религия
Б
Без категории
М
Мир-работы
Х
Хобби-и-рукоделие
И
Искусство-и-развлечения
В
Взаимоотношения
З
Здоровье
К
Кулинария-и-гостеприимство
Ф
Финансы-и-бизнес
П
Питомцы-и-животные
О
Образование
О
Образование-и-коммуникации
annnnka16
annnnka16
07.11.2020 11:13 •  Математика

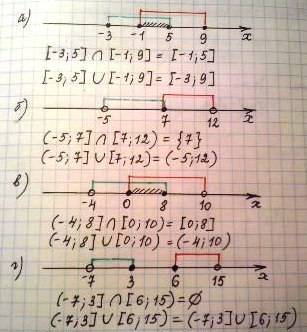
Используя координатную прямую найдите пересечение и обьединение промежутков [-3; 5] и [-1; 9] (-5; 7] и [7; 12) (-4; 8]и[0; 10) (-7; 3]и[6; 15)

👇
Ответ:
nikitav109
nikitav109
07.11.2020
Решение во вложенном изображении
Используя координатную прямую найдите пересечение и обьединение промежутков [-3; 5] и [-1; 9] (-5; 7
4,5(92 оценок)
Открыть все ответы
Ответ:
serditex89041361
serditex89041361
07.11.2020

а) Половиной девятого и без 15 девять;

8 ч 30 мин  и 8 ч 45 мин

8 ч 45 мин - 8 ч 30 мин = 15 мин

б) Половиной шестого и 15 минут седьмого;

5 ч 30 мин и 6 ч 15 мин

6 ч 15 мин - 5 ч 30 мин = (5 ч + 60 мин + 15 мин) - 5 ч 30 мин =

= 5 ч 75 мин - 5 ч 30 мин = 45 мин

в) 15 минут восьмого и половиной восьмого;

7 ч 15 мин и 7 ч 30 мин

7 ч 30 мин - 7 ч 15 мин = 15 мин

г) 15 минут десятого и десятью;

9 ч 15 мин и 10 ч

10 ч - 9 ч 15 мин = ( 9 ч + 60 мин ) - 9 ч 15 мин = ( 9 ч - 9 ч ) + ( 60 мин - 15 мин ) = 45 мин

д) тремя часами и 15 минут пятого;

3 ч и 4 ч 15 мин

4 ч 15 мин - 3 ч = 1 ч 15 мин

е) двенадцатью часами и 15 минут первого;

12 ч и 12 ч 15 мин

12 ч 15 мин - 12 ч   = 15 мин

ж) сколько минут в 3 часах?

1 час = 60 мин

3 ч = 3 * 60 = 60 + 60 + 60 = 180 мин

4,4(71 оценок)
Ответ:
Инав
Инав
07.11.2020

а) Половиной девятого и без 15 девять;

8 ч 30 мин  и 8 ч 45 мин

8 ч 45 мин - 8 ч 30 мин = 15 мин

б) Половиной шестого и 15 минут седьмого;

5 ч 30 мин и 6 ч 15 мин

6 ч 15 мин - 5 ч 30 мин = (5 ч + 60 мин + 15 мин) - 5 ч 30 мин =

= 5 ч 75 мин - 5 ч 30 мин = 45 мин

в) 15 минут восьмого и половиной восьмого;

7 ч 15 мин и 7 ч 30 мин

7 ч 30 мин - 7 ч 15 мин = 15 мин

г) 15 минут десятого и десятью;

9 ч 15 мин и 10 ч

10 ч - 9 ч 15 мин = ( 9 ч + 60 мин ) - 9 ч 15 мин = ( 9 ч - 9 ч ) + ( 60 мин - 15 мин ) = 45 мин

д) тремя часами и 15 минут пятого;

3 ч и 4 ч 15 мин

4 ч 15 мин - 3 ч = 1 ч 15 мин

е) двенадцатью часами и 15 минут первого;

12 ч и 12 ч 15 мин

12 ч 15 мин - 12 ч   = 15 мин

ж) сколько минут в 3 часах?

1 час = 60 мин

3 ч = 3 * 60 = 60 + 60 + 60 = 180 мин

4,8(60 оценок)
Новые ответы от MOGZ: Математика
logo
Вход Регистрация
Что ты хочешь узнать?
Спроси Mozg
Открыть лучший ответ