М
Молодежь
К
Компьютеры-и-электроника
Д
Дом-и-сад
С
Стиль-и-уход-за-собой
П
Праздники-и-традиции
Т
Транспорт
П
Путешествия
С
Семейная-жизнь
Ф
Философия-и-религия
Б
Без категории
М
Мир-работы
Х
Хобби-и-рукоделие
И
Искусство-и-развлечения
В
Взаимоотношения
З
Здоровье
К
Кулинария-и-гостеприимство
Ф
Финансы-и-бизнес
П
Питомцы-и-животные
О
Образование
О
Образование-и-коммуникации
улан291
улан291
24.10.2020 22:55 •  Математика

ответьте . найдите точки экстремума f(x) = 12x - x (в кубе)

👇
Ответ:
мама1033
мама1033
24.10.2020
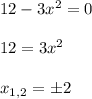
Найдите точки экстремума F(x) = 12x - x^3

Найдем производную
F'(x) = (12x - x^3)' = 12-3 x^{2}

Найдем точки экстремума

12-3 x^{2} = 0 \\ \\ 12 = 3 x^{2} \\ \\ x_{1,2} = \pm 2
4,4(100 оценок)
Открыть все ответы
Ответ:
RuslAN3017
RuslAN3017
24.10.2020
Нас учила в одно время старая учительница. Сам я деревенский.
Представь что знак равенста (т.е. =) это граница. При переходе через границу все цифры иксы или игреки меняют свой знак с минуса на плюс или с плюса на минус. В любом уравнении сначала с одной стороны знака равенства собери цифры, а с другой неизвестные (иксы и т.п.). В данном случае (в твоем уравнении)
2х+1=9
2х=9-1 (Однерку перевели с другой стороны, заменив знак + на - )))
2х=8 (х  т.е. икс мы не знаем) (Какую цифру надо умножить на два чтобы получить восемь, это получается половина восьми т.е. восемь делим на два что видно из уравнения 2х=8
х=8\2
х=2
Вот примерно как я понимаю удачи
4,5(57 оценок)
Ответ:
Егор4ik18
Егор4ik18
24.10.2020
Нас учила в одно время старая учительница. Сам я деревенский.
Представь что знак равенста (т.е. =) это граница. При переходе через границу все цифры иксы или игреки меняют свой знак с минуса на плюс или с плюса на минус. В любом уравнении сначала с одной стороны знака равенства собери цифры, а с другой неизвестные (иксы и т.п.). В данном случае (в твоем уравнении)
2х+1=9
2х=9-1 (Однерку перевели с другой стороны, заменив знак + на - )))
2х=8 (х  т.е. икс мы не знаем) (Какую цифру надо умножить на два чтобы получить восемь, это получается половина восьми т.е. восемь делим на два что видно из уравнения 2х=8
х=8\2
х=2
Вот примерно как я понимаю удачи
4,8(88 оценок)
Новые ответы от MOGZ: Математика
logo
Вход Регистрация
Что ты хочешь узнать?
Спроси Mozg
Открыть лучший ответ