М
Молодежь
К
Компьютеры-и-электроника
Д
Дом-и-сад
С
Стиль-и-уход-за-собой
П
Праздники-и-традиции
Т
Транспорт
П
Путешествия
С
Семейная-жизнь
Ф
Философия-и-религия
Б
Без категории
М
Мир-работы
Х
Хобби-и-рукоделие
И
Искусство-и-развлечения
В
Взаимоотношения
З
Здоровье
К
Кулинария-и-гостеприимство
Ф
Финансы-и-бизнес
П
Питомцы-и-животные
О
Образование
О
Образование-и-коммуникации
Срочно19381
Срочно19381
31.01.2020 03:27 •  Математика

Сторона равносторонего треугольника равна корень из 3. найти площадь, r, r и h

👇
Ответ:
пацанка6
пацанка6
31.01.2020
H=sqrt(3)*a/2=sqrt(3)*1.5.
R=2/3*h=sqrt(3).
r=1/3*h=sqrt(3)/2
4,5(22 оценок)
Ответ:
Lanalavina
Lanalavina
31.01.2020
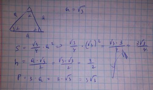
Решение в приложении..
Сторона равносторонего треугольника равна корень из 3. найти площадь, r, r и h
4,6(36 оценок)
Открыть все ответы
Ответ:
manilipitaozk746
manilipitaozk746
31.01.2020
Я напишу на русском, а в переводчике можешь перевести на мордовскоий или эрзянском языке. Как обычно Петя проподал на улице. И предя домой мама наругала его за домашнее задание. И седя за столом и читаю литературу Петя задумался: „Вот сяду я летним вечером на лужок с Ванькой и забудем про всякие уроки ,и будет смотреть на закат попевая лето...". Тут зашла мама и злобно посмотрела на задумчевого сына и с вздохом сказала: „ Петя,Петя". Вот недели, месяца и наступило лето. Радуясь Петя пошёл домай с тройками по математике, биологии и вобщем по всем предметам. И седя на лугу летним вечером Петя думает: „Вот и дождался, но Ванька не пришёл, потому что рыбу ловил, но Петя не расстраивался, а нослождался жарой , и красивым закатом".
4,7(37 оценок)
Ответ:
вик232
вик232
31.01.2020
Радиус, вписанной в прямоугольный тр-к ,окружности равен:

  r = (a+b-c)/2 , где а,b - катеты, с - гипотенуза, тогда

  4 = (а+b -26)/2

  а+b -26 = 8

  а+b  = 34

Таким образом Р = а+b +с =34+26 =60 (см).

2) Правило:
   отрезки  касательных к окружности, проведённые из одной точки, равны, т.е.

    ВМ =ВР=5,    АМ=АТ=12, СТ=СР = х, тогда по теореме Пифагора:

    (5 + х)²+(12 + х)²=17²

     25 + 10х + х² +144 +24х +х² = 289

     2·х² +34х+169 - 289 =0

     2·х² +34х -120 =0

      х² + 17х -60 =0

      х₁ = 3;    х₂= -20 ( не подходит по смыслу задачи)

 Таким образом АС = 15, ВС = 8  и Р= 15+8+17 = 40 (см).

4,7(99 оценок)
Это интересно:
Новые ответы от MOGZ: Математика
logo
Вход Регистрация
Что ты хочешь узнать?
Спроси Mozg
Открыть лучший ответ