М
Молодежь
К
Компьютеры-и-электроника
Д
Дом-и-сад
С
Стиль-и-уход-за-собой
П
Праздники-и-традиции
Т
Транспорт
П
Путешествия
С
Семейная-жизнь
Ф
Философия-и-религия
Б
Без категории
М
Мир-работы
Х
Хобби-и-рукоделие
И
Искусство-и-развлечения
В
Взаимоотношения
З
Здоровье
К
Кулинария-и-гостеприимство
Ф
Финансы-и-бизнес
П
Питомцы-и-животные
О
Образование
О
Образование-и-коммуникации
Rosa386433
Rosa386433
27.12.2022 09:06 •  Математика

1. решите графическим методом подстоновки. {x=y-3 {2y-x=6 решите надо зарание

👇
Ответ:
Dhgfhdudv
Dhgfhdudv
27.12.2022
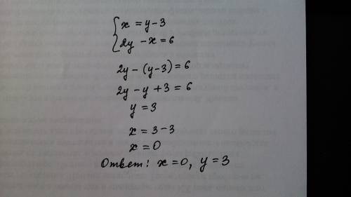
Y=x+1. y=x+1. x=y-1. x=3-1. x=2
y=3-x. y=3. y=3

x=y-3. x=y-3. x=y-3. x=3-3. x=0
2y-x=6. 2y-(y-3)=6. 2y-y+3=6. y+3=6. y=3
1. решите графическим методом подстоновки. {x=y-3 {2y-x=6 решите надо зарание
1. решите графическим методом подстоновки. {x=y-3 {2y-x=6 решите надо зарание
4,6(19 оценок)
Ответ:
елазевета
елазевета
27.12.2022
1. Решить графическим это значит построить графики функций. Координаты точек пересечения графиков функций и будет решением системы.
См. фото. Точка пересечения графиков имеете координаты (1;2)
ответ: х=1, у=2.

2. Решение второй системы на втором фото.
1. решите графическим методом подстоновки. {x=y-3 {2y-x=6 решите надо зарание
4,8(73 оценок)
Открыть все ответы
Ответ:

15892643512364527893465237845623457896378562378956834765278934562й34987562378452634985623785634987563278465234795623746529347562934652349652378946592873465982736459827346592348756234987562348756234987562349856239465234856239485629837456293482658973465872345

Пошаговое объяснение:686866868993246578346592734659264875628934562879й3456283479658761263416236451263541723584712354168235455555555555555555555555555555555555555555555555555555555555555555555555555555555555555555555555555555555555555555555555555555555555555555555555555555555555555555555555555555555555555555555555555555555555555555555555555555555555555555555555555555555555555555555555555555555555555555

4,8(6 оценок)
Ответ:
KIrito5016
KIrito5016
27.12.2022

Пошаговое объяснение:

2, 8, 16, 24, 66, 150 — делятся на 2, так как последняя цифра этих чисел четная;

3, 7, 19, 35, 77, 453 — не делятся на 2, так как последняя цифра этих чисел нечетная.

75 — делится на 3, так как 7+5=12, и число 12 делится на 3 (12:3=4);

471 — делится на 3, так как 4+7+1=12, и число 12 делится на 3 (12:3=4);

532 — не делится на 3, так как 5+3+2=10, а число 10 не делится на 3 (10:3=3  1 3 ).

4576 — делится на 4, так как число 76 делится на 4 (7·2+6=20, 20:4=5);

9634 — не делится на 4, так как число 34 не делится на 4 (3·2+4=10, 10:4=2  1 2 ).

468, 4788, 69759 — делятся на 9, так как сумма их цифр делится на девять (4+6+8=18, 4+7+8+8=27, 6+9+7+5+9=36);

861, 3458, 34681 — не делятся на 9, так как сумма их цифр не делится на девять (8+6+1=15, 3+4+5+8=20, 3+4+6+8+1=22).

Определить, какие из чисел делятся на 12:

1) 876;  

2) 1128;

3) 2485;

4) 3844;

5) 61176;

6) 64692;

7) 170760.

1) 876: 8+7+6=21. 21 делится на 3, следовательно, 876 также делится на 3.

4,7(86 оценок)
Новые ответы от MOGZ: Математика
logo
Вход Регистрация
Что ты хочешь узнать?
Спроси Mozg
Открыть лучший ответ