М
Молодежь
К
Компьютеры-и-электроника
Д
Дом-и-сад
С
Стиль-и-уход-за-собой
П
Праздники-и-традиции
Т
Транспорт
П
Путешествия
С
Семейная-жизнь
Ф
Философия-и-религия
Б
Без категории
М
Мир-работы
Х
Хобби-и-рукоделие
И
Искусство-и-развлечения
В
Взаимоотношения
З
Здоровье
К
Кулинария-и-гостеприимство
Ф
Финансы-и-бизнес
П
Питомцы-и-животные
О
Образование
О
Образование-и-коммуникации
Намиг123
Намиг123
04.08.2021 11:14 •  Математика

Из числа вычли 2 а затем половину того что осталось из полученного числа вычли 3 а затем 3 того что осталось от полученного числа вычли 4 а затем четвёртую того что осталось и получили 3 какое число было изначально

👇
Ответ:
катюшка309
катюшка309
04.08.2021
Изначально было 30. я шел от обратного. у нас в итоге три. значит перед этим было 3х-1/4х=3. потом прибавляем 4 получается 8, потом прибавляем 3 получается 11, ещё 3 равно 14. отняли половину и получили 14. значит было 28. 28+2=30
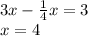
3x - \frac{1}{4} x = 3 \\ x = 4
4,4(44 оценок)
Открыть все ответы
Ответ:
25424446645
25424446645
04.08.2021

В решении.

Пошаговое объяснение:

Работа практическая, поэтому надо подготовить предметы и произвести аккуратно измерения

1) Предмет Чашка.

а) измерить гибким сантиметром (применяют, когда шьют что-то, и делают замеры длины, ширины). Или взять верёвочку, измерить длину окружности чашки, потом приложить к линейке верёвочку.

У меня С (длина окружности) = 42 см.

б) Измерить диаметр чашки. D = 13,4 см.

в) Разделить C на D, получим примерное число π, которое равно 3,141592653589793238462643, но в домашних условиях, конечно, такой точности не добиться, поэтому в первом опыте:

π = C/D = 42/13,4 ≈ 3,13432835 ≈ 3,13;

2) Предмет Кружка.

Измерения такие же.

С = 25,8 см

D = 8,2 см

π = C/D = 25,8/8,2 ≈ 3,14634146 ≈ 3,15;

3) Предмет Стакан.

Измерения такие же.

С = 21,3 см

D = 6,8 см

π = C/D = 21,3/6,8 ≈ 3,13235294 ≈ 3,13.

4,7(55 оценок)
Ответ:
vitaly10
vitaly10
04.08.2021

В решении.

Пошаговое объяснение:

Работа практическая, поэтому надо подготовить предметы и произвести аккуратно измерения

1) Предмет Чашка.

а) измерить гибким сантиметром (применяют, когда шьют что-то, и делают замеры длины, ширины). Или взять верёвочку, измерить длину окружности чашки, потом приложить к линейке верёвочку.

У меня С (длина окружности) = 42 см.

б) Измерить диаметр чашки. D = 13,4 см.

в) Разделить C на D, получим примерное число π, которое равно 3,141592653589793238462643, но в домашних условиях, конечно, такой точности не добиться, поэтому в первом опыте:

π = C/D = 42/13,4 ≈ 3,13432835 ≈ 3,13;

2) Предмет Кружка.

Измерения такие же.

С = 25,8 см

D = 8,2 см

π = C/D = 25,8/8,2 ≈ 3,14634146 ≈ 3,15;

3) Предмет Стакан.

Измерения такие же.

С = 21,3 см

D = 6,8 см

π = C/D = 21,3/6,8 ≈ 3,13235294 ≈ 3,13.

4,4(73 оценок)
Это интересно:
Новые ответы от MOGZ: Математика
logo
Вход Регистрация
Что ты хочешь узнать?
Спроси Mozg
Открыть лучший ответ