М
Молодежь
К
Компьютеры-и-электроника
Д
Дом-и-сад
С
Стиль-и-уход-за-собой
П
Праздники-и-традиции
Т
Транспорт
П
Путешествия
С
Семейная-жизнь
Ф
Философия-и-религия
Б
Без категории
М
Мир-работы
Х
Хобби-и-рукоделие
И
Искусство-и-развлечения
В
Взаимоотношения
З
Здоровье
К
Кулинария-и-гостеприимство
Ф
Финансы-и-бизнес
П
Питомцы-и-животные
О
Образование
О
Образование-и-коммуникации
nikcentennial
nikcentennial
07.12.2020 01:31 •  Математика

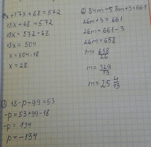
X+17x+68=572 84m-58m+3=661 18-p-99=53 решите 40

👇
Ответ:
Gogasg
Gogasg
07.12.2020
Решение на фотографии
X+17x+68=572 84m-58m+3=661 18-p-99=53 решите 40
4,7(14 оценок)
Открыть все ответы
Ответ:
hramkova1983
hramkova1983
07.12.2020
ВСТУПЛЕНИЕ
Много в нашей жизни интересного (небо, облака, животные, леса), и мне хочется всё это узнать, поэтому целью моего реферата является изучение четырёх хвойных деревьев: лиственницы, ели, сосны и пихты. Задачи: рассмотреть чешуйки и хвоинки; рассмотреть ствол дерева; узнать, где распространено.
ЛИСТВЕННИЦА
В сибирском городе Тюмени во время раскопок обнаружили старый водопровод. Целый век пролежали его деревянные трубы в земле и не сгнили. Оказывается, трубы были из лиственницы.Сибиряки любят это дерево. Уж очень много у него ценных качеств. Сибирской лиственнице не страшны сильные морозы. Не ломают её и сильные ветры. К почке она не привередлива, а растёт быстро и живёт около 400-500 лет. Древесина её славится прочностью. Высотой дерево бывает 30-50 м., а в диаметре – больше 1,5 метров.Лиственничные леса – это 2/5 «зелёного моря» нашей страны. Красивую, стройную лиственницу часто выращивают в парках. Хвоя у неё густая, но мягкая. К осени она окрашивается в нежно-золотистый цвет и на зиму опадает, как у лиственных пород. Поэтому и дерево – лиственница.
ЕЛЬМрачный и тёмный стоит еловый лес. 300 лет прежде чем выросли такие могучие деревья. Огромные ёлки поднялись высоко к небу.Еловые ветки почти не пропускают солнечный свет. Поэтому в густом ельнике не растёт трава. Земля покрыта сухими коричневыми и пустыми шишками.Иголки у елей – это тонкие необычные листья. С их деревья дышат, берут у солнца свет и тепло, каждая иголка-хвоинка живёт долго: 5-7 лет, а потом падает на землю. Но ели никогда не сбрасывают свою хвою полностью. Это вечнозелёное растение, иголки у него сменятся постепенно.Шишки у ели узкие и длинные. Семена в них мелкие, с крылышками. Раскроются шишки, ветер подхватит крылатые семена, и там, где опустится семечко, вырастет молодая пушистая ёлочка.Шишек на ёлке много, в каждой шишке по 50-60 семян. Семена елей – любимое лакомство лесных жителей: клестов и дятлов, белок и мышей. Зимой еловый лес зверей и птиц не только от голода, но и от стужи: в еловом лесу не бывает ветра.Из толстых еловых брёвен люди строя тёплые дома, делают красивую мебель, делают бумагу.У ели самая звонкая древесина, поэтому из ели делают музыкальные инструменты.
СОСНА
Сосна любит свет и простор, поэтому в сосновых лесах всегда светло и весело. Залитый солнцем сосновый бор создаёт у людей праздничное настроение.Сосна стоит зелёной в любое время года. Это вечнозелёное дерево. А иголки сменяют друг друга не все сразу, а постепенно.Сосновые иголки длиннее, чем у ели. Они прикреплены к сосновой ветке по две хвоинки вместе.Сосна растёт на сухих местах. Её корни уходят глубоко в землю, добывая воду из глубины. Сосны с такими корнями вырастают высокие и стройные.Ствол у сосны красного цвета, как будто у меди, и блестит на солнце. А внизу, ближе к земле, кора коричневая и очень толстая.Шишки у сосны мелкие. Сначала зелёные, а потом серые. Под деревьями всегда лежит ворох пустых шишек. Семена их разнесло по ветру, или съели птицы и белки.Воздух в сосновом бору всегда чистый, потому что запах сосны убивает всех микробов. Из смолы и хвои сосны люди делают лекарства.В морозы гуще молодых сосёнок тепло и тихо. Сюда приходят погреться лоси, здесь же они кормятся молодыми веточками сосен.Сосна даёт пропитание и жилище многим лесным жителям: дятлам, белкам, совами глухарям. Белка устраивает своё гнездо в пышной кроне сосны, потому что даже в сильный дождь капли стекают по хвое и стволу и не попадают в беличий домик.Живёт это замечательное дерево 300-500 лет.
4,5(72 оценок)
Ответ:
MikiMio
MikiMio
07.12.2020
Примем работу по изготовлению юрты за единицу (целое), тогда:
1/20 - часть юрты, которую изготовит первый мастер за 1 день;
1/12 - часть юрты, которую изготовит второй мастер за 1 день;
1/15 - часть юрты, которую изготовит третий мастер за 1 день;
1/20 + 1/12 + 1/15 = 3/60 + 5/60 + 4/60 = 12/60 = 1/5 - часть  юрты, которую изготовят три мастера, работая вместе, за 1 день;
1 : 1/5 = 1 * 5/1 = 5 - за пять дней три мастера изготовят юрту при совместной работе.
ответ: за 5 дней.

60 : 20 = 3 - доп.множ. к 1/20 = (1*3)/(20*3) = 3/60
60 : 12 = 5 - доп.множ. к 1/12 = (1*5)/(12*5) = 5/60
60 : 15 = 4 - доп.множ. к 1/15 = (1*4)/(15*4) = 4/60
3/60 + 5/60 + 4/60 = 12/60 = 1/5 (сократили на 12)
4,5(83 оценок)
Это интересно:
Новые ответы от MOGZ: Математика
logo
Вход Регистрация
Что ты хочешь узнать?
Спроси Mozg
Открыть лучший ответ