М
Молодежь
К
Компьютеры-и-электроника
Д
Дом-и-сад
С
Стиль-и-уход-за-собой
П
Праздники-и-традиции
Т
Транспорт
П
Путешествия
С
Семейная-жизнь
Ф
Философия-и-религия
Б
Без категории
М
Мир-работы
Х
Хобби-и-рукоделие
И
Искусство-и-развлечения
В
Взаимоотношения
З
Здоровье
К
Кулинария-и-гостеприимство
Ф
Финансы-и-бизнес
П
Питомцы-и-животные
О
Образование
О
Образование-и-коммуникации
Андрей3482
Андрей3482
17.10.2021 17:32 •  Математика

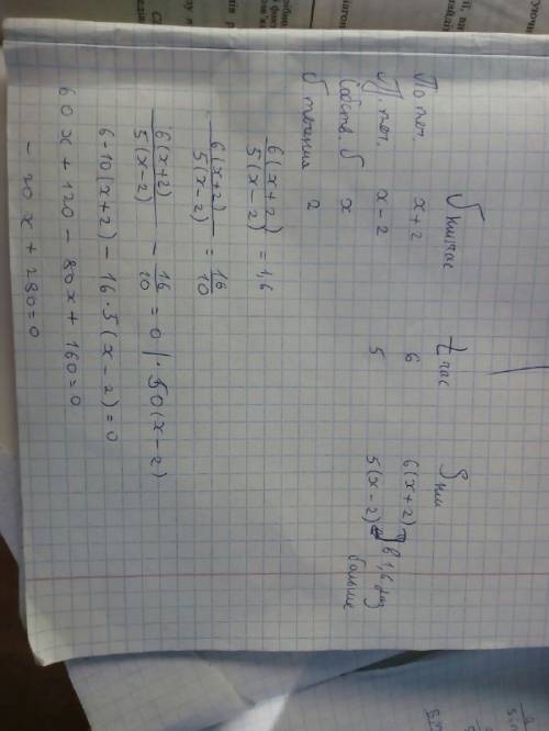
За 6 ч катер проходит по течению реки расстояние в 1,6 раз больше, чем за 5 ч против течения. какова собственная скорость катера, если скорость течения реки 2 км/ч ?

👇
Ответ:
Итак, я скину фоточку:

Должно быть правильно

За 6 ч катер проходит по течению реки расстояние в 1,6 раз больше, чем за 5 ч против течения. какова
За 6 ч катер проходит по течению реки расстояние в 1,6 раз больше, чем за 5 ч против течения. какова
4,4(78 оценок)
Открыть все ответы
Ответ:
kirill885
kirill885
17.10.2021
Подобные треугольники-это такие треугольники,у которых углы соответственно равны,а стороны пропорциональны сторонам другого треугольника.
Чтобы записать,нужно знать признаки подобия треугольников.
-Если два угла одного треугольника,соответственно равны двум углам другого треугольника,то такие треугольники подобны.
-Если угол одного треугольника,равен углу другого треугольника,то такие треугольники (пропорциональные в равном отношении)то такие треугольники подобны.
Если три стороны одного треугольника соответственно пропорциональны трем сторонам другого,то такие треугольники подобны.
4,8(15 оценок)
Ответ:
Hwicwhen575
Hwicwhen575
17.10.2021
Краснодарский край образован 13 сентября 1937 года на основе территорий, занимаемых до революции Кубанской областью и Черноморской губернией. Краевым центром является город Краснодар. Историческое наименование – Кубань. Край на северо-востоке граничит с Ростовской областью, на востоке - со Ставропольским краем, на юге - с Республикой Абхазия и Республикой Карачаево-Черкессия, омывается Азовским и Черным морями. Расположенный на границе умеренных и субтропических широт, на стыке равнин и гор, край отличается разнообразием природно-климатических условий и географических ландшафтов. Краснодарский край занимает площадь 76 тысяч квадратных километров и является самым южным регионом России. По численности населения является третьим среди субъектов Российской Федерации – в нём проживает свыше пяти миллионов человек, в том числе около 53 % - в городах и 47 % - в сельской местности. История Кубани уходит вглубь на многие тысячелетия, ее благодатные условия издавна притягивали к себе людей. На просторах ее бескрайних степей кочевали скифы, киммерийцы, сарматы, меоты, половцы, хазары, ногайцы. Древние греки и средневековые генуэзцы закладывали на берегу Черного и Азовского морей свои города и торговые фактории. Здесь было основано легендарное древнерусское княжество Тмутаракань.
4,5(63 оценок)
Это интересно:
Новые ответы от MOGZ: Математика
logo
Вход Регистрация
Что ты хочешь узнать?
Спроси Mozg
Открыть лучший ответ