М
Молодежь
К
Компьютеры-и-электроника
Д
Дом-и-сад
С
Стиль-и-уход-за-собой
П
Праздники-и-традиции
Т
Транспорт
П
Путешествия
С
Семейная-жизнь
Ф
Философия-и-религия
Б
Без категории
М
Мир-работы
Х
Хобби-и-рукоделие
И
Искусство-и-развлечения
В
Взаимоотношения
З
Здоровье
К
Кулинария-и-гостеприимство
Ф
Финансы-и-бизнес
П
Питомцы-и-животные
О
Образование
О
Образование-и-коммуникации
Sasha0102051
Sasha0102051
10.05.2021 20:44 •  Математика

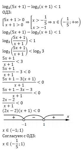
Решите неравенство log3(5x+1)-log3(x+1)< 1

👇
Ответ:
vittoriakostenk
vittoriakostenk
10.05.2021
Решение во вложении.
Решите неравенство log3(5x+1)-log3(x+1)< 1
4,4(96 оценок)
Открыть все ответы
Ответ:
Ткацкий станок — основная машина ткацкого производства, оборудование или устройство для изготовления всевозможных видов ворсовых, гладких, плетёных полотен и ковров: льняных, конопляных, хлопчатобумажных, шёлковых, шерстяных, а также прочей продукции текстильной промышленности.Ткацкий станок служит человечеству с древних времён. В некоторых сельских домах и поныне можно встретить ручные, требующие кропотливого труда, усердия и терпения ткацкие (и ковроткацкие) станки. Даже в масштабах производства, для изготовления высокохудожественных, орнаментальных и сюжетных ковров (гобеленов, килимов) ручного производства используют всё те же, известные с незапамятных времён, вертикальные (представляющие собой простую раму с натянутыми нитями основы) и горизонтальные ручные станки. В остальном, в наши дни, ткацкий станок, это сложное, высокотехнологичное и высокопроизводительное электронное оборудование. Основные виды ткацких станков Существуют ручные, полумеханические, механические и автоматизированные станки. Высокопроизводительные автоматические станки, гидравлические, пневматические, пневморапирные и др. По конструкции различают плоские станки и круглые (используют только для выработки специальных тканей, например рукавных). Станки могут быть узкими (вырабатывают ткань шириной до 100 см) и широкими, предназначаться для лёгких, средних и тяжёлых тканей. Есть станки для тканей простых переплетений (эксцентриковые), для мелкоузорчатых тканей (кареточные) и для тканей с крупным, сложным узором (жаккардовые).
4,7(65 оценок)
Ответ:
лидия87
лидия87
10.05.2021

                                                       Кролики:

Разведение кроликов – любимое занятие многих людей, особенно пожилых. В целом же кролиководство прочно завоевало свои позиции на многочисленных домашних фермах. И для этого есть весомые аргументы: кролики – наиболее скороспелые животные, от которых можно получить мясо, шкурки, пух и другую продукцию при небольших затратах кормов, труда и средств.

Кролики могут успешно выращиваться не только на фермах, в подсобных хозяйствах селян, но также и на приусадебных участках горожан. Эти животные дают диетическое мясо, а изделия из кроличьего меха пользуются постоянным с Вырастить же три десятка кроликов не составляет никакого труда. Летом для такого поголовья легко найдется достаточное количество корма даже в пределах садового участка, а заготовить сено и веточный корм можно в окрестностях садового массива.

О сельских жителях и говорить нечего – у них идеальные условия для содержания кроликов. Клетки они могут разместить в сарае, под навесом или непосредственно в хозяйственном дворе под открытым небом.

Практика показала, что кролиководство является значительным резервом получения мяса. Среди всех сельскохозяйственных животных кролики отличаются высокой интенсивностью размножения. Хорошая самка за год дает 5–6 окролов, 40–50 крольчат, а это около 100 кг мяса и до 40 шкурок. Мясо кроликов относится к диетическим продуктам питания. Сочное и нежное, по вкусовым качествам близкое к мясу птицы, оно содержит большое количество белка (превосходит в этом мясо говядины, баранины и св

4,6(40 оценок)
Это интересно:
Новые ответы от MOGZ: Математика
logo
Вход Регистрация
Что ты хочешь узнать?
Спроси Mozg
Открыть лучший ответ