Сколько членов арифметической прогрессии нужно вписать между числами 1 и 31, чтобы сумма этих членов была вчетверо больше суммы двух наибольших из них?
В 1808 году нижегородцы собрали деньги по подписке на памятник великому земляку. В конкурсе на лучший проект победила работа Мартоса. Однако скульптор смог доказать, что памятник должен находиться в Москве, где его и установили в 1817 году на Красной площади возле Торговых рядов. В 1930 году памятник перенесли к собору Василия Блаженного. В Нижнем памятник Козьме Минину появился только во время Великой Отечественной войны, когда в центре города, на площади его имени, была установлена скульптура Александра Колобова.
В 1808 году нижегородцы собрали деньги по подписке на памятник великому земляку. В конкурсе на лучший проект победила работа Мартоса. Однако скульптор смог доказать, что памятник должен находиться в Москве, где его и установили в 1817 году на Красной площади возле Торговых рядов. В 1930 году памятник перенесли к собору Василия Блаженного. В Нижнем памятник Козьме Минину появился только во время Великой Отечественной войны, когда в центре города, на площади его имени, была установлена скульптура Александра Колобова.
Дано:
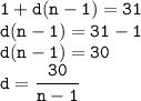
1. Формула n-го члена арифметической прогрессии:
, отсюда разность прогрессии:
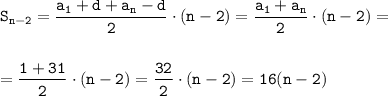
2. Сумма двух наибольших неизвестных членов:
3. Сумма всех неизвестных членов:
4. По условию сумма всех неизвестных членов вчетверо больше суммы двух наибольших из них, тогда:
В данной арифметической прогрессии всего 16 членов, значит, между числами 1 и 31 нужно вписать 16 - 2 = 14 членов.
ответ: 14.