
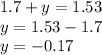
Для того, чтобы изобразить на координатной прямой, с единичным отрезком 20, дроби 1/10 и 1/4 нужно привести их к общему знаменателю.
НОД(4,10)=20
20/4=5 => 1/4=5/20
20/10=2 => 1|10=2/20
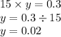
Для того, чтобы найти, какие дроби находятся в промежутке между 1/10 и 1/4, еужно применить правило сравнение дробей: Из двух дробей с лдинаковым числителем больше та, у которой знаменатель меньше.
- 1/10 < 1/4;
- между 1/10 и 1/4, точно, расположены дроби с числителем равным 1 и знаменателем больше 4 и меньше 10.
ответ: 1/10 < 1/9; 1/8; 1/7; 1/6; 1/5 < 1/4
Рисунок во вложении