
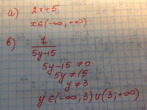
x∈(-∞;+∞)


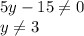
y∈(-∞;3)∪(3;+∞)
1. -2х²-3х+5;
-2х²-5х+2х+5;
(-2х²+2х)+(5-5х);
2х(-х+1)+5(1-х)=2х(1-х)+5(1-х);
(1-х)(2х+5).
2. (х²+х-20)/(х²+2х-15);
х²+5х-4х-20/х²+5х-3х-15;
х *(х+5)-4(х+5)/х*(х+5)-3(х+5);
(х+5)*(х-4)/(×+5)*(х-3);
х-4/х-3.
3. х⁴-5х²+4=0
4х-10+4=0
4х-6=0
х=3
4. Два рабочих работая вместе, выполнили производственное задание за 12 часов.
За сколько часов может выполнить эту задачу каждый рабочий, работая самостоятельно, если один из них может выполнить это задание на 7 часов быстрее другого?
х — время работы первого
х+7 — время работы второго
1/х+1/(х+7)=1/12
12(х+7)+12х=х(х+7)
12х+84+12х=х²+7х
х²-17х-84=0
х1=21
х2= -4
х+7=28
ответ — 21ч и 28 ч
Пошаговое объяснение:
5 - 9 классы Математика 15+8 б
Найдите значение суммы и разности чисел
1)7 11/12 и 4 9/16 2)25 13/42 и 19 9/14 3) 5 8/30 и 3 11/18 4)49 3/20 И 38 1/12 5) 30,2 и 27 2/35 6)99 11/15 и 97,2
ИльяКрутой228 02.09.2016
Комментарии (1 ) Отметить нарушение
ИльяКрутой228
Аллилуя хоть один нормальный человек мне написал
ответы и объяснения
ЛУЧШИЙ ОТВЕТ!
nafanya2014
Nafanya2014Магистр
1)7 целых11/12 + 4 целых 9/16=7 целых44/48 + 4 целых 27/48=
=11 целых 71/48= 12 целых 23/48;
7 целых11/12 - 4 целых 9/16=7 целых44/48 - 4 целых 27/48=
=3 целых 17/48.
2) 25 целых 13/42 + 19 целых 9/14 =25 целых 13/42 + 19 целых 27/42= =44 целых 40/42=44 целых 20/21;
25 целых 13/42 - 19 целых 9/14 =25 целых 13/42 - 19 целых 27/42=
= 24 целых 55/42 - 19 целых 27/42 = 5целых 28/42 = 5 целых 2/3.
3) 5 целых 8/30 + 3 целых 11/18=5 целых 24/90 + 3 целых 55/90=
= 8 целых 79/90;
5 целых 8/30 - 3 целых 11/18=5 целых 24/90 + 3 целых 55/90=
= 4 целых 114/90 -3 целых 55/90 = 1 целая 59/90.
4) 49 целых 3/20 + 38 целых 1/12= 49 целых 9/60 + 38 целых 5/60=
=87 целых 14/60 = 87 целых 7/30;
49 целых 3/20 - 38 целых 1/12= 49 целых 9/60 - 38 целых 5/60=
=11 целых 4/60 = 11 целых 1/15.
5) 30,2 + 27 2/35 = 30 целых 2/10+27 целых 2/35 =
= 30 целых 14/70 + 27 целых 4/70 = 57 целых 18/70= 57 целых 9/10;
30,2 - 27 2/35 = 30 целых 2/10 - 27 целых 2/35 =
= 30 целых 14/70 - 27 целых 4/70 = 3 целых 10/70= 3 целых 1/7.
6)99 целых 11/15 + 97,2=99 целых 11/15 + 97 целых 2/10=
=99 целых 22/30 + 97 целых 6/30=196 целых 28/30=196 целых 14/15;
99 целых 11/15 - 97,2=99 целых 11/15 - 97 целых 2/10=
=99 целых 22/30 - 97 целых 6/30=2 целых 16/30=2 целых 8/15.
Пошаговое объяснение:
ответ на фото/////////