М
Молодежь
К
Компьютеры-и-электроника
Д
Дом-и-сад
С
Стиль-и-уход-за-собой
П
Праздники-и-традиции
Т
Транспорт
П
Путешествия
С
Семейная-жизнь
Ф
Философия-и-религия
Б
Без категории
М
Мир-работы
Х
Хобби-и-рукоделие
И
Искусство-и-развлечения
В
Взаимоотношения
З
Здоровье
К
Кулинария-и-гостеприимство
Ф
Финансы-и-бизнес
П
Питомцы-и-животные
О
Образование
О
Образование-и-коммуникации
Arin0209
Arin0209
15.08.2022 06:12 •  Математика

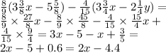
8/9 (3 3/8х-5 5/8) -4/15 (3 3/4х-2 1/4у) одна минута осталась

👇
Ответ:
12345578824828
12345578824828
15.08.2022
\frac{8}{9} (3 \frac{3}{8} x - 5 \frac{5}{8} ) - \frac{4}{15} (3 \frac{3}{4} x - 2 \frac{1}{4} y) = \\ \frac{8}{9 } \times \frac{27}{8} x - \frac{8}{9} \times \frac{45}{8} - \frac{4}{15} \times \frac{15}{4} x + \\ \frac{4}{15} \times \frac{9}{4} = 3x - 5 - x + \frac{3}{5} = \\ 2x - 5 + 0.6 = 2x - 4.4
4,7(55 оценок)
Открыть все ответы
Ответ:
В четырех коробках 48 карандашей.Найдите число карандашей в 30 таких коробках.
Решение:
коробки    -      карандаши     
4 кор        -         48   
30 кор       -         х    
4/30=48/x
4х=48(умножить)на 30
4х=1440 
х=1440:4 
х= 360(это прямопропорциональная)
Обратнопропорциональная -
Туристы планировали пройти маршрут за 6 дней но вместо 52 км они проходили в день 39 км. За сколько дней они весь этот маршрут.
дни     -     км/д 
6          -     52 км/д 
х        -       39 км/д 
6/x=39/52
39x=52умножить на 6 
39х=312
х=312:39
х=8 
4,8(15 оценок)
Ответ:
Есть магматические. Они делятся на две группы: глубинные и излившиеся. Примеры глубинных: диорит, гранит, габбро. Излившиеся: пемза, керамзит, базальт. 
Есть осадочные. Они делятся на две группы: органические и неорганические. Неорганические тоже делятся на две группы: обломочные и химические. Примеры неорганических: обломочных: галька, гравий, песок, глина, валуны; химические: поваренная и калильные соли. Органические: нефть, каменный уголь, торф, известняк. 
И ещё метаморфические. Примеры: мрамор, кварцит, гнейс.
Ну, в прочем всё) Думаю, я понятно объяснила) Мы просто тоже недавно эту тему проходили)
4,6(74 оценок)
Новые ответы от MOGZ: Математика
logo
Вход Регистрация
Что ты хочешь узнать?
Спроси Mozg
Открыть лучший ответ