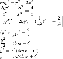
![xyy'=y^2+2x^2\\ \dfrac{2yy'}{x^2}-\dfrac{2y^2}{x^3}=\dfrac{4}{x}\\ \left[(y^2)'=2yy';\;\;\;\;(\dfrac{1}{x^2})'=-\dfrac{2}{x^3}\right]\\ (y^2*\dfrac{1}{x^2})'=\dfrac{4}{x}\\ \dfrac{y^2}{x^2}=4lnx+C\\ y^2=x^2(4lnx+C)\\ y=\pm x\sqrt{4lnx+C}](/tpl/images/1080/4666/cfa95.png)
. Чтобы извлечь его из под корня, нужно извлечь из под корня 
, а затем 
. Если степень четная, то уменьшаем ее в 2 раза, если нечетная, то из под корня полностью число в этой степень извлечь нельзя. 
![\sqrt[n]{a^m} = a^{\frac{m}{n}}](/tpl/images/0561/7515/fd5e1.png)
![a^{\frac{1}{2}} = \sqrt[2]{a^1} \\ 
a^{\frac{4}{2}} = \sqrt[2]{a^4} \\ 
a ^ {\frac{3}{6}} = \sqrt[6]{a^3} \\](/tpl/images/0561/7515/b4cce.png)
![\sqrt[2]{(10^6)^1}](/tpl/images/0561/7515/7734e.png)
. 
 возведено в 1 степень, то есть
, степень корня — 2 (
). Перейдем от записи в виде корня к записи в виде степени:![\sqrt[2]{(10^6)^1} = (10^6)^{\frac{1}{2}}](/tpl/images/0561/7515/3f459.png)
, тогда:
                                                Объяснение:
1.
(17³ + 16³) / 33- 17 × 16 = (4913 + 4096) / 33 - 272 = 9009 / 33 - 272 = 273 - 272 = 1
2.
a) 3b³ - 24 = 3(b³ - 8) = 3(b - 2)(b² + 2b + 4)
b) a² - 8ay + 16y² + 3a - 12y = (a - 4y)² + 3(a - 4y) = (a - 4y)(a - 4y + 3)
3.
a) (2y - 5)² + (3y - 5)(3y + 5) + 40y = 4y² - 20y + 25+ 9y² - 25 + 40y = 13y² + 20y
b) При y = -2:
13 × (-2)² + 20 × (-2) = 52 - 40 = 12
4.
x - y = 3, x² - y² = 87
x = 3 + y, x² - y² = 87
(3 + y)² - y² = 87
9 + 6y + y² - y² = 87
9 + 6y = 87
6y = 87 - 9
6y = 78
y = 13
x = 3 + 13
x = 16
(x, y) = (16, 13)