М
Молодежь
К
Компьютеры-и-электроника
Д
Дом-и-сад
С
Стиль-и-уход-за-собой
П
Праздники-и-традиции
Т
Транспорт
П
Путешествия
С
Семейная-жизнь
Ф
Философия-и-религия
Б
Без категории
М
Мир-работы
Х
Хобби-и-рукоделие
И
Искусство-и-развлечения
В
Взаимоотношения
З
Здоровье
К
Кулинария-и-гостеприимство
Ф
Финансы-и-бизнес
П
Питомцы-и-животные
О
Образование
О
Образование-и-коммуникации
марго409
марго409
31.07.2021 08:54 •  Алгебра

АЛГЕБРА 9 КЛАСС!
-x²-10⩽7x

👇
Ответ:
atexpro444ggvg
atexpro444ggvg
31.07.2021

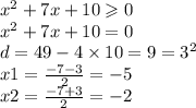
{x}^{2} + 7x + 10 \geqslant 0 \\ {x}^{2} + 7x + 10 = 0 \\ d = 49 - 4 \times 10 = 9 = {3}^{2} \\ x1 = \frac{ - 7 - 3}{2} = - 5 \\ x2 = \frac{ - 7 + 3}{2} = - 2 \\

ответ: (-&;-2) (-2;+&)

&-бесконечность

4,8(99 оценок)
Открыть все ответы
Ответ:
KrutoiYurka2008
KrutoiYurka2008
31.07.2021
12мин=0,2ч
45мин=0,75ч
всё расстояние между А и Б примем за единицу
х-время велосипедиста
х-0,75 время мотоциклиста
1/х скорость велосипедиста
1/(х-0,75) скорость мотоциклиста
1/0,2=5 скорость сближения
1/х+1/(х-0,75)=5
х-0,75+х=5х(х-0,75)
5х²-3,75х+0,75=0  разделим всё на 5
х²-1,15х+0,15=0
Д=1,15²-4*0,15=1,3225-0,6=0,7225=0,85²
х₁=(1,15-0,85):2=0,15ч=15/100 от 60мин =9минут, что не может удовлетворять условию, так как они вместе до встречи едут 12мин, значит , за 9 мин проехать всё он никак не может
х₂=(1,15+0,85):2=1час
ответ : велосипедист проезжает за 1 час
4,4(18 оценок)
Ответ:
timkoa
timkoa
31.07.2021
Производительность             Время                     Количество деталей
                       (шт./час)                             (час)                                     (шт.)
Первый                 х                                      5                                           5х
Второй                 26-х                                  3                                           3(26-х)
Всего                     -                                      -                                            108
Составляем уравнение:
5х+3(26-х)=108
5х+78-3х=108
2х=108-78
2х=30
х=30:2
х=15(шт./час)-изготавливал первый рабочий
26-15=11(шт./час)-изготавливал второй рабочий
х=30:2
х=15(шт./час)-изготавливал первый рабочий
26-15=11(шт./час)-изготавливал второй рабочий
4,6(31 оценок)
Это интересно:
Новые ответы от MOGZ: Алгебра
logo
Вход Регистрация
Что ты хочешь узнать?
Спроси Mozg
Открыть лучший ответ