М
Молодежь
К
Компьютеры-и-электроника
Д
Дом-и-сад
С
Стиль-и-уход-за-собой
П
Праздники-и-традиции
Т
Транспорт
П
Путешествия
С
Семейная-жизнь
Ф
Философия-и-религия
Б
Без категории
М
Мир-работы
Х
Хобби-и-рукоделие
И
Искусство-и-развлечения
В
Взаимоотношения
З
Здоровье
К
Кулинария-и-гостеприимство
Ф
Финансы-и-бизнес
П
Питомцы-и-животные
О
Образование
О
Образование-и-коммуникации
K7I0207G
K7I0207G
22.06.2020 08:17 •  Алгебра

Доведите неравенства:
1) b²-4b+7>0;
2) -2b < b²+2.
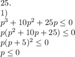
25. Для каждого отрицательного значения p доведите,что :
1) p³+10p²+25p≤0;
2) 1 - p³ > p - p².

👇
Ответ:
Кимчи12
Кимчи12
22.06.2020

Объяснение:

19.\\1)b^2-4b+70 \Rightarrow (b-2)^2+30

Это выполнено при любых b (так как (b-2)^2 \geq 0, а 3 > 0)

2)-2b0\\(b+1)^2+10\\

Это тоже выполнено при любых b (так как (b+1)^2\geq0, а 1 > 0)

25.\\1)\\p^3+10p^2+25p\leq0\\p(p^2+10p+25)\leq0\\p(p+5)^2\leq 0\\p\leq0

Переход на последнюю строчку возможен, так как квадрат числа неотрицателен

2)\\1-p^3p-p^2\\p^3-p^2+p-1

Переход на предпоследнюю строчку возможен, так как p^2+1\geq0.

А p<1 выполнено, так как p<0

4,7(74 оценок)
Открыть все ответы
Ответ:
Yaroslav2000000001
Yaroslav2000000001
22.06.2020

1) первая скобка равна нулю при х=±8, вторая по Виету при х=1;х=9

-818__9

+              -              +        -            +

х∈(-∞;-8]∪[1;8]∪[9;+∞)

2) первая скобка равна нулю при х=0; х=-7, вторая по Виету при х=1;х=6

___-70___16

+              -      +        -                 +

х∈(-7;0)∪(1;6)

3) По Виету корни числителя х=-3, х=4, а корни знаменателя х=±6

-6-346

+              -              +               -            +

х∈(-6;-3]∪[4;6)

4) корни числителя х=(-1±√4)/3=(-1±2)/3; х=-1; х=1/3

Корни знаменателя по Виету х=1; х=-3/4

-1-3/41/31

+                -               +                -               +

х∈(-∞;-1]∪(-3/4;1/3]∪(1;+∞)

4,5(56 оценок)
Ответ:
MrLech
MrLech
22.06.2020

Даны точки A(-1;4), B(3;1), C(3,4). Найдите вектор c= 2 CA+3ABОбозначим точку пересечения плоскости β отрезком CD буквой О.

DD1║CC1, CD- секущая, ⇒ накрестлежащие ∠D=∠C, вертикальные углы при О равны, ⇒ ∆ DOD1 подобен ∆ COC1 по первому признаку.

k=CC1:DD1=6/√3:√3=2

Тогда СО=2DO=²/₃ СD

ЕО=СО-СЕ

EO= \frac{2}{3} CD- \frac{1}{2} CD= \frac{1}{6} CDEO=

3

2

CD−

2

1

CD=

6

1

CD

∆ COC1 подобен ∆ EOE1 по первому признаку подобия ( ∠С=∠Е - соответственные при пересечении параллельных прямых ЕЕ1 и СС1 секущей CD, угол О - общий).

k= \frac{CO}{EO} = \frac{ \frac{2}{3} CD}{ \frac{1}{6} CD}= \frac{2*6}{3}= 4k=

EO

CO

=

6

1

CD

3

2

CD

=

3

2∗6

=4 ⇒

E E_{1}= \frac{6}{ \sqrt{3}}:4= \frac{6* \sqrt{3} }{ \sqrt{3}* \sqrt{3} *4}= \frac{ \sqrt{3}}{2} smEE

1

=

3

6

:4=

3

3

∗4

6∗

3

=

2

3

sm

4,6(44 оценок)
Это интересно:
logo
Вход Регистрация
Что ты хочешь узнать?
Спроси Mozg
Открыть лучший ответ