х км/ч ехал вначале потом ехал со скоростью (х–6) км/ч. потратил время вначале 18/х ч, потом он потратил времени 6/х-6 ч, весь путь 1,5 часа 18 + 6 =1,5 к общему знаменателю х х-6 18х-108+6х=1,5*х(х-6) 24х-108=1,5х²-9х -1,5х²+24х+9х-108=0 -1,5х²+33х-108=0 : (-1,5) х²-22х+72=0 д=484-4*1*72=196 х1=22+14 =18 х2=22-14 =4(не подходит к условию ) 2 2 18-6=12 км/час скорость на втором участке и вот решение
Впрямоугольнике или квадрате диагонали делятся точкой пересечения пополам. ⇒ т.к. диагонали cb и ad равны и они делятся точкой o пополам то и ao=co. ч.т.д.
2 cos(5п/3)=1
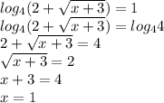
Делаем проверку
ответ 1