М
Молодежь
К
Компьютеры-и-электроника
Д
Дом-и-сад
С
Стиль-и-уход-за-собой
П
Праздники-и-традиции
Т
Транспорт
П
Путешествия
С
Семейная-жизнь
Ф
Философия-и-религия
Б
Без категории
М
Мир-работы
Х
Хобби-и-рукоделие
И
Искусство-и-развлечения
В
Взаимоотношения
З
Здоровье
К
Кулинария-и-гостеприимство
Ф
Финансы-и-бизнес
П
Питомцы-и-животные
О
Образование
О
Образование-и-коммуникации
Kiralex71
Kiralex71
26.02.2022 05:22 •  Алгебра

Не выполняя построений, найдите координаты точки пересечения графиков уравнений 2х-9у=1 и 5х+2у=3 , ответы самые точные.

👇
Ответ:
бабушка19773
бабушка19773
26.02.2022

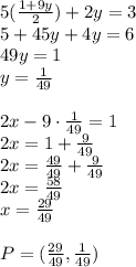
\\2x-9y=1\\ 2x=1+9y\\ x=\frac{1+9y}{2}

 

5(\frac{1+9y}{2})+2y=3\\ 5+45y+4y=6\\ 49y=1\\ y=\frac{1}{49}\\\\ 2x-9\cdot\frac{1}{49}=1\\ 2x=1+\frac{9}{49}\\ 2x=\frac{49}{49}+\frac{9}{49}\\ 2x=\frac{58}{49}\\ x=\frac{29}{49}\\\\ P=(\frac{29}{49},\frac{1}{49})

4,8(32 оценок)
Открыть все ответы
Ответ:
OGordienko1
OGordienko1
26.02.2022
Ну короче, смотри. область определение, это все те х, при которых твоё уравнение существует в принципе, т.е. подкоренное выражение должно быть больше либо равно нуля. решаем. 1/4+7х-2х^2. раскладываем квадратное уравнение на множители, т.е: -2х^2+7х+4=-2(х-х1)(х-х2)=-2(х+1/2)(х-4) - это я просто нашёл корни устно и подставил.а потом методом интервалов(он должен быть тебе знаком) находим, что х принадлежит :(-1/2;4) значит ответом должно быть число 3, т.к. 4 не входит в область определения. вроде как всё правильно посчитал(ответ В)
4,6(18 оценок)
Ответ:
kros222999
kros222999
26.02.2022
1. sin² 7x - cos² 7x = √3/2
   - (cos² 7x - sin² 7x) = √3/2
   - cos (2*7x) = √3/2
   - cos 14x = √3/2
     cos 14x = -√3/2
14x = + 5π/6 + 2πk, k∈Z
   x= +  5π/84 + πk/7, k∈Z

2. cosx/4 * sin π/5 - sinx/4 cos π/5 =√3/2
    sin π/5 * cosx/4 - cos π/5 * sinx/4 = √3/2
    sin(π/5 - x/4) = √3/2
1) π/5 - x/4 = π/3 +2πn, n∈Z
    -x/4 = π/3 - π/5 + 2πn
    -x/4 = 2π/15 + 2πn
     x= - 8π/15 -8πn, n∈Z
2) π/5 -x/4 = π - π/3 + 2πn,n∈Z
    π/5 -x/4 = 2π/3 + 2πn
     -x/4 = 2π/3 - π/5 +2πn
      -x/4 = 7π/15 + 2πn
       x= -28π/15 - 8πn, n∈Z
ответ: -8π/15 - 8πn, n∈Z;
            -28π/15 -8πn, n∈Z.
    
4,4(89 оценок)
Это интересно:
Полный доступ к MOGZ
Живи умнее Безлимитный доступ к MOGZ Оформи подписку
logo
Вход Регистрация
Что ты хочешь узнать?
Спроси Mozg
Открыть лучший ответ