М
Молодежь
К
Компьютеры-и-электроника
Д
Дом-и-сад
С
Стиль-и-уход-за-собой
П
Праздники-и-традиции
Т
Транспорт
П
Путешествия
С
Семейная-жизнь
Ф
Философия-и-религия
Б
Без категории
М
Мир-работы
Х
Хобби-и-рукоделие
И
Искусство-и-развлечения
В
Взаимоотношения
З
Здоровье
К
Кулинария-и-гостеприимство
Ф
Финансы-и-бизнес
П
Питомцы-и-животные
О
Образование
О
Образование-и-коммуникации
olgavasileva67
olgavasileva67
22.02.2020 07:13 •  Алгебра

3 міста А в мiсто В, відстань між якими становить 2400 км, вилетів літак. Через 30 хв з міста В до міста А вилетів другий літак, Швидкість якого на 200 км/год більша за швидкість першого літака. Знайти швидкість кожного літака, якщо вони зустрілися на середині шляху.​

👇
Ответ:
89237карина
89237карина
22.02.2020

Объяснение:

Середина пути равна: 2400 км:2=1200 км.

30 мин=1/2 часа.

Пусть скорость первого самолёта равна х км/ч.        ⇒

Скорость второго самолёта равна (х+200) км/ч.

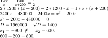
\frac{1200}{x} -\frac{1200}{x+200}=\frac{1}{2} \\2*1200*(x+200)-2*1200*x =1*x*(x+200)\\2400x+480000-2400x=x^2+200x\\x^2+200x-480000=0\\D=1960000\ \ \ \ \sqrt{D}=1400\\x_1=-800\ \notin\ \ \ \ x_2=600. \\600+200=800.

ответ: скорость первого самолёта 600 км/ч,

            cкорость второго самолёта 800 км/ч.

4,7(37 оценок)
Открыть все ответы
Ответ:
kirstav64
kirstav64
22.02.2020

1) если х=0, то из первого уравнения у=±1, а из второго у=0, поэтому х≠0, разделим обе части 2 уравнения на х², получим

2+5(у/х)-7(у/х)²=0, пусть у/х=к, тогда к²-(5/7)к-2/7=0; по Виету к=1; к=-2/7;

1) к=1, тогда  у=х, подставим в 1 уравнение. получим  у²-у²+3у²=3;⇒у=±1; х=±1, решения системы (1;1); (-1;-1).

2) у/х=-2/7; у=-2х/7; подставим в 1 уравнение. получим

х²-(-2/7)х²+3(-2х/7)²=3;⇒98х²+14х²+12х²=147; 147=75х²;25х²=49;

х=±√(49/25)=±7/5=±1.4

3) если х=7/5=1.4, то у=-2*7/(7*5)=-2/5=-0.4

и третье решение (1.4; -0.4)

4) если х=-7/5, то у =2*7/(7*5)=2/5=0.4 и четвертое решение (-1.4; 0.4)

4,7(55 оценок)
Ответ:
angelinachka3000
angelinachka3000
22.02.2020

1. ДА

2. НЕТ

3. ДА

4. ДА

5. НЕТ

Объяснение:

1) x²-2x-8=0   x=4           ДА

  4²-2*4-8=0

  16-8-8=0

   0=0 (верно) => х=4 - корень уравнения

2) x²-4x-5=0   x=1           НЕТ

   1²-4*1-5=0

   1-4-5=0

   -8=0 (не верно) => х=1 - не является корнем уравнения

3) 2x²+2x-24=0   x=-4    ДА

  2(-4)²+2(-4)-24=0

  2*16-8-24=0

  32-32=0

  0=0  (верно)  => х=-4 - корень уравнения

4) 3x²+12x+9=0   x=-1   ДА

   3(-1)²+12(-1)+9=0

   3-12+9=0

   0=0 (верно) => х=-1 - корень уравнения

5) x²+6x+9=0  x=0   НЕТ

   0²+6*0+9=0

   9=0 (не верно) => х=0 - не является корнем уравнения

4,6(31 оценок)
Новые ответы от MOGZ: Алгебра
logo
Вход Регистрация
Что ты хочешь узнать?
Спроси Mozg
Открыть лучший ответ