М
Молодежь
К
Компьютеры-и-электроника
Д
Дом-и-сад
С
Стиль-и-уход-за-собой
П
Праздники-и-традиции
Т
Транспорт
П
Путешествия
С
Семейная-жизнь
Ф
Философия-и-религия
Б
Без категории
М
Мир-работы
Х
Хобби-и-рукоделие
И
Искусство-и-развлечения
В
Взаимоотношения
З
Здоровье
К
Кулинария-и-гостеприимство
Ф
Финансы-и-бизнес
П
Питомцы-и-животные
О
Образование
О
Образование-и-коммуникации
Rita7711
Rita7711
27.02.2023 10:03 •  Алгебра

Ввозрастающей прогрессии сумма первого и последнего членов равна 66, произведение второго и пред- последнего членов равна 128, сумма всех членов равна 126. найдите знаменатель прогрессии

👇
Ответ:
Котик132457
Котик132457
27.02.2023
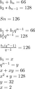
b_{1}+b_{n}=66\\
b_{2}*b_{n-1}=128\\
\\
Sn=126\\
\\
b_{1}+b_{1}q^{n-1}=66\\
b^2_{1}q^{n-1}=128\\
\\
\frac{b_{1}(q^n-1)}{q-1}=126\\
\\
b_{1}=x\\
q^{n-1} = y\\
 x+xy=66\\
 x^2*y=128
\\
y=32\\
x=2\\

предположение что 
q^{n-1}=2^5\\
n-1=5\\
n=6\\
q=2 значит b_{1}=2 и это предположение верное так как 
S_{6}=\frac{2(2^6-1)}{2-1}=126
ответ  q=2
4,8(21 оценок)
Открыть все ответы
Ответ:
TiltPro
TiltPro
27.02.2023
1) 2/a -7/b =2b-7a  /ab
2)с/ab + a / cd=c^2d+a^2b  / abcd
3)b/a ^ 2 - a/b ^ 2 =b^3-a^3 / a^2b^2
4)5/a+ 3a - 5 / a + 1=5(a+1)+a(3a-5) a(a+1)=5a+5+3a^2-5 / a(a+1)=5a+3a^2
 / a(a+1) здесь вопрос по поводу самого условия 3a и 1 отдельно от дроби или включены в знаменатель? я решала под знаменателем. если отдельно, на
5)m + n / m - n + m / m - n=m+n+m /m-n=2m+n /m+nпиши, решу по другому.
6)p / q - p / p /q =p/q-p * q/p=q/ q-p
7)1 / y ^ 3 + 1 - y ^ 2 / y ^ 5=
8) 1- xz / xyz - 1 - ax / axyz =(1-xz)y-(1-ax)z / axyz=y-xyz-z+axz / axyz

9)1 + b / abc + 1 - a / a ^ c =здесь что-то с условием не так. a в степени с или какой-то все-таки другой знаменатель?
4,7(93 оценок)
Ответ:
VasilisaBelkina
VasilisaBelkina
27.02.2023

3/14х - 8/21х = - 1,24 + 0,59;

3 * 3/42х - 2 * 8/42х = - 0,65;

9/42х - 16/42х = - 65/100;

- 7/42х = - 13/20;

- 1/6х = - 13/20;

х = - 13/20 : (- 1/6);

х = - 13/20 * (- 6/1);

х = - 13/10 - (- 3/1);

х = 39/10;

х = 3 9/10.

ответ: х = 3 9/10.

Объяснение:

Чтобы выполнить вычитание дробей нужно:

1. Найти общий знаменатель;

2. Найти дополнительные множители;

3. Умножить дополнительные множители на числители;

4. Отнять числители, а знаменатель оставить тот же.

Чтоб от меньшего числа отнять большее, нужно от большего числа отнять меньшее и в результате поставить знак большего числа.

При делении отрицательного числа на отрицательное, результат положительный.

4,7(8 оценок)
Это интересно:
logo
Вход Регистрация
Что ты хочешь узнать?
Спроси Mozg
Открыть лучший ответ