М
Молодежь
К
Компьютеры-и-электроника
Д
Дом-и-сад
С
Стиль-и-уход-за-собой
П
Праздники-и-традиции
Т
Транспорт
П
Путешествия
С
Семейная-жизнь
Ф
Философия-и-религия
Б
Без категории
М
Мир-работы
Х
Хобби-и-рукоделие
И
Искусство-и-развлечения
В
Взаимоотношения
З
Здоровье
К
Кулинария-и-гостеприимство
Ф
Финансы-и-бизнес
П
Питомцы-и-животные
О
Образование
О
Образование-и-коммуникации
макс3033
макс3033
19.12.2022 08:22 •  Алгебра

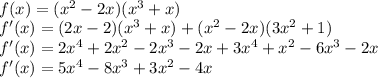
Найти производную функции: (x^2-2x)(x^3+x)

👇
Ответ:
patya6346
patya6346
19.12.2022

((x^2-2x)(x^3+x))'=(x^2-2x)'(x^3+x)+(x^2-2x)(x^3+x)'=((x^2)'-(2x)')(x^3+x)+

+(x^2-2x)((x^3)'+(x)')=

(2x-2)(x^3+x)+(x^2-2x)(3x^2+1)=

-2x^3-2x+2x^4+2x^2+3x^4+x^2-6x^3-2x=

=5x^4-8x^3+3x^2-4x

4,8(7 оценок)
Ответ:
кошка453
кошка453
19.12.2022

\\f(x)=(x^2-2x)(x^3+x)\\ f'(x)=(2x-2)(x^3+x)+(x^2-2x)(3x^2+1)\\ f'(x)=2x^4+2x^2-2x^3-2x+3x^4+x^2-6x^3-2x\\ f'(x)=5x^4-8x^3+3x^2-4x\\

4,8(47 оценок)
Открыть все ответы
Ответ:
elag
elag
19.12.2022
Рельеф территории Казахстана сложный и pазнообразный: примерно 10 % занимает высокогорье, остальная часть приходится на долю низменностей, равнин, плато и возвышенностей. Для юго-запада, севера и центральных районов характерен равнинный рельеф с небольшими высотами в пределах 200-300 м над уровнем моря. На юго-востоке республики находятся горы, вершины которых достигают отметки 5-6 тыс. м над уровнем моря. Здесь же, в Тянь-Шаньской горной системе, расположена высшая точка в Казахстане – пик Хан-Тенгри (выс. 6995 м) . Для рельефа Казахстана характерно широкое распространение бессточных бассейнов (Каспийское море, Аральское море, озеро Балхаш) , глубоких впадин и сухих котловин. Современный рельеф Казахстана является результатом длительного палеографического развития, в процессе которого неоднократно менялись морские и континентальные условия, климат и теоктонические движения. Процесс горообразования в юго-восточном Казахстане, начавшийся в неогене, продолжается до сегодняшнего дня. Признаками современных движений являются землетрясения и колебания земной коры. На самом востоке находится Алтайская горная система. В пределы Казахстана входят Южный Алтай и часть Рудного Алтая. Средние высоты горной системы 2500-3500 м, наивысшая точка – гора Белуха (4506 м) . Одной из значительных горных систем на юге и юго-востоке Казахстана является Джунгарский Алатау (длина 450 км, ширина 100-250 км) , вершины гор которого покрыты вечными льдами. Низкогорный мелкосопочный рельеф Сарыарки представляет собой обособленную геоморфологическую область, высшая точка которой пик Аксоран (1565 м) . На юго-западе от Сарыарки расположено плато Бетпакдала – обширные пустынные степи. Манкыстауские горы состоят из трех хребтов, разделенных продольными понижениями. Плато Устюрт отделено от них Карынжарыкской впадиной и занимает пространство до Аральского моря. В Балхаш-Алакольской впадине распространены песчаные пустыни Таукум, Сарыесик-Атырау, Леккум, Мойынкум. Северная часть Казахстана занята южными окраинами Западно-Сибирской равнины, которые окаймляют возвышенность Сарыарки.
4,6(75 оценок)
Ответ:
minikisa2007
minikisa2007
19.12.2022
Сначала определим вероятность того, что среди выбранных четырех карт не окажется валетов.
В колоде 32 карты не валеты.
Вероятность того, что первая карта не валет равна 32/36 = 8/9.
После этого останется 35 карт и 31 из них не валеты.
Вероятность того, что вторая карта не валет, 31/35.
Аналогично рассуждая получаем. что вероятность того, что третья карта не валет, равна 30/34 = 15/17, а для четвертой карты 29/33.
Вероятность того, что среди четырех карт нет валетов, равна 8/9 * 31/35 * 15/17 * 29/33 = 7192/11781.
Вероятность того, что среди четырех карт окажется хотя бы 1 валет, равна 1 - 7192/11781 = 4589/11781. Округлив дробь до десятых, получим 0.4.
ответ: Вероятность того, что среди четырех карт окажется хотя бы 1 валет, равна 0.4
4,5(15 оценок)
Это интересно:
Новые ответы от MOGZ: Алгебра
logo
Вход Регистрация
Что ты хочешь узнать?
Спроси Mozg
Открыть лучший ответ