 
                                                 
                                                 
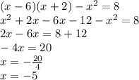
                                                -7
Объяснение:
4 sin(225°)-
sin(225°)- tan(-300°) → 4
tan(-300°) → 4 ×(-
×(- /2)-
/2)- tan(-300°) Вычислите значение выражения, используя таблицу значений тригонометрических функций или единичную окружность4
tan(-300°) Вычислите значение выражения, используя таблицу значений тригонометрических функций или единичную окружность4 ×(-
×(- /2)-
/2)- tan(-300°) → 4
tan(-300°) → 4 ×(-
×(- /2)-
/2)-
 Вычислите значение тригонометрической функции4
Вычислите значение тригонометрической функции4 ×(-
×(- /2)-
/2)-
 → 4
 → 4 ×(-
×(- /2)-3 При умножении квадратного корня из некоторого выражения на себя результатом является данное выражение4
/2)-3 При умножении квадратного корня из некоторого выражения на себя результатом является данное выражение4 ×(-
×(- /2)-3 → -4
/2)-3 → -4 ×
× /2-3 Плюс на минус даёт минус (+)×(-)=(-)-4
/2-3 Плюс на минус даёт минус (+)×(-)=(-)-4 ×
× /2-3 → -2
/2-3 → -2
 -3 Сократить числа на наибольший общий делитель 2-2
-3 Сократить числа на наибольший общий делитель 2-2
 -3 → -2×2-3 При умножении квадратного корня из некоторого выражения на себя результатом является данное выражениеВычисляем -2×2-3=-7ответ: -7
-3 → -2×2-3 При умножении квадратного корня из некоторого выражения на себя результатом является данное выражениеВычисляем -2×2-3=-7ответ: -7
                                                 
                                                Объяснение:
1) 2 в степени 1/3 И 2 в степени 2/3 - основания > 1 и равны 2, значит, сравнивает степени (1/3) < (2/3) Зависимость прямая : чем больше степень, тем больше число.
2 в степени 1/3 < 2 в степени 2/3
2) (2) в степени 1/4 И (2)в степени 3/4 - основания > 1 и равны 2, значит, сравниваем степени : (1/4) < (3/4) Зависимость прямая : чем больше степень, тем больше число.
(2) в степени 1/4 < (2)в степени 3/4
3) (1/3) в степени 2 И (1/3) в степени 3 - основания < 1 и равны 1/3, значит, сравниваем степени : (1/4) < (3/4) - Зависимость обратная : чем больше степень, тем меньше число.
(1/3) в степени 2 > (1/3) в степени 3/4
Выбор зависимости зависит от основания. Если основание >1, то зависимость прямая. Если основание 0<..<1, то зависимость обратная
 
                                                 
                                                 
                                                