М
Молодежь
К
Компьютеры-и-электроника
Д
Дом-и-сад
С
Стиль-и-уход-за-собой
П
Праздники-и-традиции
Т
Транспорт
П
Путешествия
С
Семейная-жизнь
Ф
Философия-и-религия
Б
Без категории
М
Мир-работы
Х
Хобби-и-рукоделие
И
Искусство-и-развлечения
В
Взаимоотношения
З
Здоровье
К
Кулинария-и-гостеприимство
Ф
Финансы-и-бизнес
П
Питомцы-и-животные
О
Образование
О
Образование-и-коммуникации
vikarere7
vikarere7
29.12.2021 13:28 •  Алгебра

Составьте уравнение 2 степени по множеству его решений s={3 - √2; 3+ √2}

👇
Ответ:
dashagorlova2
dashagorlova2
29.12.2021
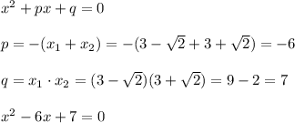
x^2+px+q=0\\\\p=-(x_1+x_2)=-(3-\sqrt2+3+\sqrt2)=-6\\\\q=x_1\cdot x_2=(3-\sqrt2)(3+\sqrt2)=9-2=7\\\\x^2-6x+7=0
4,8(10 оценок)
Открыть все ответы
Ответ:
skyyymbria
skyyymbria
29.12.2021
5y  - ( 7 - 2y) - (7y + 8) = 2y
5y  - 7  + 2y   - 7y  - 8  = 2y
(5y  + 2y  - 7y)  - (7 + 8) = 2y 
- 15  =  2y
2y = - 15
y =  - 15/2
y =  - 7,5

6у(13у-9)  - 13у(6у - 1) = 24 +13
78у²   - 54у  -  78у²  + 13у = 37
(78у² - 78у² ) - (54у-13у) = 37
-41у = 37
у= - ³⁷/₄₁

(2х   - 3)² - (2х + 1)(2х - 5) = 3х - 14
(2х)²  - 2*2х * 3  +  3²  - (4х² - 10х  + 2х  - 5) = 3х  - 14
4х²  - 12х  + 9  - (4х²  - 8х  - 5)   =  3х  - 14
4х²  - 12х  + 9  - 4х²  + 8х  + 5   =  3х  - 14
(4х²  - 4х²)   - (12х - 8х)  + (9 + 5) = 3х  - 14
- 4х  + 14  =  3х  - 14
- 4х   - 3х  = - 14 - 14
- 7х =  - 28
7х = 28
х = 28 : 7
х = 4
4,7(15 оценок)
Ответ:
Ксюша10012007
Ксюша10012007
29.12.2021

702.  25 см.

703.  36 см.

Объяснение:

"702 Периметр прямоугольника равен 70 см. его длину уменьшили  на 5 см, а ширину увеличили  на 5 см, то площадь увеличится на 50 см.   Найдите длину   первоначального прямоугольника.

703, Сторона квадрата на 3 ем менше одній стороні прямокутні-

ка і на 2 см більше друго його боку. Знайдіть сторону ква-

рата, якщо відомо, що площа квадрата на 30 ese aremme no-

щади прямокутника".

***

Р прямоугольника =2(х+у), где х - длина, у - ширина.

P = 2(х+у)=70;

x+y=35;   (1)

S1=xy;

S2=(x-5)(y+5);

S2-S1=50;

(x-5)(y+5) - xy=50;

xy+5x-5y-25 -xy=50;

5x-5y=75;

x-y=15;  (2)

Уравнения (1) и (2) система.

Из (2)  x=15+y;

В (1)  15+у+у=35;

2y=20;

y=10.

x=15+10=25 см - длина первоначального прямоугольника.

***

703. S кв.=х² см²

S прямоугольника =(х+3)(х-2)=х²-2х+3х-6=х²+х-6;

x²+x-6 - x²=30;

x-6=30;

x=36. - сторона квадрата.

Поверим:

S пр. = (36+3)(36-2)=39*34=1326 см².

S кв.=36²=1296 см².

S пр-S кв=1326-1296=30 см².  Все верно!

На украинском:

Р прямокутника =2(х+у), де х - довжина, у - ширина.

P = 2 (х+у)=70;

x+y=35; (1)

S1=xy;

S2=(x-5)(y+5);

S2-S1=50;

(x-5)(y+5) - xy=50;

xy+5x-5y-25 -xy=50;

5x-5y=75;

x-y=15; (2)

Рівняння (1) і (2) система.

З (2) x=15 + y;

В (1) 15+у+у=35;

2y=20;

y=10.

x=15 + 10=25 см - Довжина початкового прямокутника.

***

703. S кв.=х2 см2

S прямокутника =(х+3) (х-2)=х2-2х+3х-6=х2 + х-6;

x²+x-6 - x²=30;

x-6=30;

x=36 см. - сторона квадрата.

Повіривши:

S пр.= (36+3)(36-2)=39*34=1326 см2.

S кв.=362=1296 см2.

S пр-s кв=1326-1296=30 см2. Все вірно!

4,6(3 оценок)
Новые ответы от MOGZ: Алгебра
logo
Вход Регистрация
Что ты хочешь узнать?
Спроси Mozg
Открыть лучший ответ