Объяснение:
1) Решениеy=(4·x-9)^5
((4·x-9)^5)' = 20(4·x-9^)4
Поскольку:
((4·x-9)5)' = 5·(4·x-9)^5-^1((4·x-9))' = 20(4·x-9)^4
(4·x-9)' = 4
20(4·x-9)^4
y=(x2-3x+1)7
2) Решение:((x2-3x+1)7)' = (-7·3x·ln(3)+14·x)(x2-3x+1)6
Поскольку:
((x2-3x+1)7)' = 7·(x2-3x+1)7-1((x2-3x+1))' = (-7·3x·ln(3)+14·x)(x2-3x+1)6
(x2-3x+1)' = (x2)' + (-3x)' + (1)' = 2·x + (-3x·ln(3)) = -3x·ln(3)+2·x
(x2)' = 2·x2-1(x)' = 2·x
(x)' = 1
Здесь:
Решение ищем по формуле:
(af(x))' = af(x)*ln(a)*f(x)'
(-3x)' = -3x·ln(3)(x)' = -3x·ln(3)
(x)' = 1
(-7·3x·ln(3)+14·x)(x2-3x+1)6
3) Решение:y=(sin(x))^3
(sin(x)^3)' = 3·sin(x)^2·cos(x)
Поскольку:
(sin(x)^3)' = 3·(sin(x))^3-1((sin(x)))' = 3·sin(x)^2·cos(x)
(sin(x))' = cos(x)
3·sin(x)2·cos(x)
ответ:Для того, чтобы найти при каком значении переменной x равны значения выражений (5x - 1)(2 - x) и (x - 3)(2 - 5x) составим и решим следующее уравнение.
(5x - 1)(2 - x) = (x - 3)(2 - 5x);
10x - 5x2 - 2 + x = 2x - 5x2 - 6 + 15x;
Перенесем в разные части уравнения слагаемые с переменными и без. При переносе слагаемых из одной части уравнения в другую меняем знаки слагаемых на противоположные.
-5x2 + 5x2 + 10x + x - 2x - 15x = -6 + 2;
x(10 + 1 - 2 - 15) = -4;
-6x = -4;
x = -4 : (-6);
x = 2/3.
ответ: x = 2/3
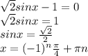
Подобное решение.
Объяснение:
То есть возможны два случая:
1)
Но
. Значит это уравнение не имеет решений.
2)
, n∈Z