М
Молодежь
К
Компьютеры-и-электроника
Д
Дом-и-сад
С
Стиль-и-уход-за-собой
П
Праздники-и-традиции
Т
Транспорт
П
Путешествия
С
Семейная-жизнь
Ф
Философия-и-религия
Б
Без категории
М
Мир-работы
Х
Хобби-и-рукоделие
И
Искусство-и-развлечения
В
Взаимоотношения
З
Здоровье
К
Кулинария-и-гостеприимство
Ф
Финансы-и-бизнес
П
Питомцы-и-животные
О
Образование
О
Образование-и-коммуникации
svepielisz
svepielisz
28.12.2021 09:47 •  Алгебра

Найдите наименьшее целое значение функции у=5/2√(sinx-cosx)^2 +3

👇
Ответ:
Инна0606
Инна0606
28.12.2021

y=\dfrac{5}{2}\sqrt{(\sin x-\cos x)^2}+3=\dfrac{5}{2}|\sin x-\cos x|+3

Далее по формуле дополнительного угла

a\sin x-b\cos x=\sqrt{a^2+b^2}\sin (x-\arcsin\frac{b}{\sqrt{a^2+b^2}})

y=\dfrac{5}{2}\cdot \sqrt{2}\left|\sin \left(x-\dfrac{\pi}{4}\right)\right|+3=\dfrac{5\sqrt{2}}{2}\left|\sin \left(x-\dfrac{\pi}{4}\right)\right|+3

Множество значений функции y = sin(x-π/4) : E(y) = [-1;1], тогда множество значений функции y = |sin (x-π/4) | это E(y) = [0;1]. Оценим далее с двойного неравенства

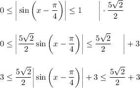
0\leq \bigg|\sin \bigg(x-\dfrac{\pi}{4}\bigg)\bigg|\leq 1~~~~~~\bigg|\cdot \dfrac{5\sqrt{2}}{2}\\ \\ \\0\leq \bigg|\dfrac{5\sqrt{2}}{2}\sin\bigg(x-\dfrac{\pi}{4}\bigg)\bigg|\leq \dfrac{5\sqrt{2}}{2}~~~~\bigg|+3\\ \\ \\ 3\leq\dfrac{5\sqrt{2}}{2}\bigg|\sin\bigg(x-\dfrac{\pi}{4}\bigg)\bigg|+3\leq \dfrac{5\sqrt{2}}{2}+3

Множество значений данной функции: E(y)=\left[3;3+\dfrac{5\sqrt{2}}{2}\right] откуда наименьшее значение функции y =3.

ответ: 3.

4,6(50 оценок)
Ответ:
Vladikf01Vlad220
Vladikf01Vlad220
28.12.2021

ответ: наименьшее целое равно 3, так как минимальное значение левого слагаемого равно нулю.

Объяснение:

4,6(17 оценок)
Открыть все ответы
Ответ:

у = kx+b

A(5; 3)

B(-3; -1)

Подставим координаты точек А и В в уравнение прямой вместо х и у, но точек две, поэтому уравнений получим тоже два с двумя неизвестными k и b

Составим систему уравнений и решим её:

{5k+b=3

{-3k+b=-1

вычтем из верхнего уравнения нижнее, получим

8k+0=4

k = 2

подставим k=2 в любое уравнение системы, например, в верхнее, получим:

5*2 + b =3

10+b = 3

b = 7

Запишем уравнение прямой:

у = 2х+7, которая проходит через данные точки А и В.

Далее, просили уравнение прямой, которая

1) параллельная данной, а значит её коэффициент k одинаковые, т е k = 2 и

2) пересекает ось абсцисс в точке (-10; 0)

0 = 2*(-10) + b

0 = -20 + b

b = 20

y = kx+b

k= 2, b= 20

y = 2x+20 - искомая формула прямой

4,7(50 оценок)
Ответ:
lolgg2
lolgg2
28.12.2021

Пусть у трегольника два катета а и b, а гипотенуза с. Пусть обозначим гипотенузу с - х см, то меньший катет а - (х-18) см. Из условия b-а = 17 то b=а+17= х-18+17=х-1.

По теореме пифагора с²=а²+b² и подставим через х стороны  треугольника в это уравнение

х²=(х-18)²+(х-1)²

х²=х²-36х+324+х²-2х+1

х²=2х²-38х+325

2х²-38х+325-х²=0

х²-38х+325=0

Д=(-38)²-4*1*325=1444-1300=144=12²

х1=(38+12)/2=25

х2=(38-12)/2=13 - не подходит, так как гипотенуза больше катета на 18см по условию задачи.

ответ: гипотенуза прямоугольного треугольника равна 25см

4,5(32 оценок)
Это интересно:
Новые ответы от MOGZ: Алгебра
logo
Вход Регистрация
Что ты хочешь узнать?
Спроси Mozg
Открыть лучший ответ