М
Молодежь
К
Компьютеры-и-электроника
Д
Дом-и-сад
С
Стиль-и-уход-за-собой
П
Праздники-и-традиции
Т
Транспорт
П
Путешествия
С
Семейная-жизнь
Ф
Философия-и-религия
Б
Без категории
М
Мир-работы
Х
Хобби-и-рукоделие
И
Искусство-и-развлечения
В
Взаимоотношения
З
Здоровье
К
Кулинария-и-гостеприимство
Ф
Финансы-и-бизнес
П
Питомцы-и-животные
О
Образование
О
Образование-и-коммуникации
МасенькаЗайка
МасенькаЗайка
06.04.2022 17:39 •  Алгебра

1.вычислить дробь а) б) 2.решить уровнение y+ = 6 36x- = 0 3. выражение

👇
Ответ:
banni11
banni11
06.04.2022
A.
....= \frac{5^{4} }{5^{3}*5^3*0.2^2 } = \frac{1}{5^2*0.04} = \frac{1}{1}=1

B.
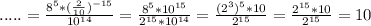
.....= \frac{8^5* (\frac{2}{10})^{-15} }{10^{14} } = \frac{8^5*10^{15} }{2^{15}*10^{14} }= \frac{(2^{3})^{5}*10 }{2^{15} }= \frac{2^{15}*10 }{2^{15} } =10

2.
у+9у^(-1)=6
у+9/у=6
у²+9-6у=0
D/=9-9=0
у= - 3

36х-х^(-1)=0
36х-1/х=0
36х²-1=0
36х²=1
х²=1/36
х1= 1/6
х2= - 1/6

.
(\frac{b+1}{b-1} - \frac{b}{b+1} ): \frac{3b+1}{2b-2} = \frac{(b+1)(b+1)-b(b-1)}{(b+1)(b-1)}* \frac{2(b-1)}{3b+1} = \frac{b^{2}+2b+1-b^{2}+b }{b+1} * \frac{2}{3b+1}=\frac{3b+1}{b+1} * \frac{2}{3b+1}= \frac{2}{b+1}

.
\frac{a+3}{a-1} *( \frac{a}{a-3} + \frac{3-a}{a+3})= \frac{a+3}{a-1} * \frac{a^{2}+3a+3a-9-a^{2}+3a}{(a-3)(a+3)}= \frac{a+3}{a-1}* \frac{9a-9}{(a+3)(a-3)}=\frac{9(a-1)}{(a-1)(a-3)}= \frac{9}{a-3}
4,8(79 оценок)
Открыть все ответы
Ответ:
Училка2281337
Училка2281337
06.04.2022
(1) 
х+у=5 и х-у=1 
у=5-х и у=х-1 
а) Строим график функции у=5-х 
х=1, у=4 
х=2, у=3 
Отметь точки (1;4) и (2;3) и проведи через них линию на всю плоскость координат 
б) Строим график функции у=х-1 
х=1, у=0 
х=2, у=1 
Отметь точки (1;0) и (2;1) и проведи через них линию на всю плоскость координат 
Отметь точку пересечения - это и есть ответ 
ответ: х=3, у=2 

(2) 
2х+3у=13 и 3х-у=3 
у=(13-2х) /3 и у=3х-3 
а) Строим график функции у=(13-2х) /3 
х=2, у=3 
х=5, у=1 
Отметь точки (2;3) и (5;1) и проведи через них линию на всю плоскость координат 
б) Строим график функции у=3х-3 
х=1, у=0 
х=2, у=3 
Отметь точки (1;0) и (2;3) и проведи через них линию на всю плоскость координат 
Отметь точку пересечения - это и есть ответ 
ответ: х=2, у=3

как-то так
4,5(74 оценок)
Ответ:
taric2004
taric2004
06.04.2022

ЗАДАНИЕ 1.

1)y = (x + 1)², y=1

(x+1)² =1

x+1= -1 или  x+1= 1

x= - 2;           x= 0

ответ: x=-2; x=0

ЗАДАНИЕ 2.

2)y = x² +1, y = 5;

x²+1=5

x² =4

x=2 или x=-2

ответ: x=2; x=-2

ЗАДАНИЕ 3.

3)y= -x² + 4, y = 0

-x² +4=0

-x²=-4

x²=4

x=2   или  x=-2

ответ: x=2; x=-2

ЗАДАНИЕ 4.

y=x^3, y=x, x=0, x=1

*Если y=x, то:

x= x^3

x-x^3=0

x(1-x²)=0

x=0      или      1-x²=0

                   x=-1 или x=1

ответ: x=0; x=-1; x=1.

*Если x=0, то:

y=0^3

y=0

ответ: y=0

*Если x=1, то:

y= 1^3

y=1

ответ: y=1

ЗАДАНИЕ 5.

y=3-x²,  y=2

3-x²=2

-x² =2-3

x²=1

x=1 или x=-1

ответ: x=1; x=-1

ЗАДАНИЕ 6.

y=x^3+1, y=1, x=1

*Если y=1, то:

x^3+1=1

x^3=1-1

x^3=0

x=0

ответ: x=0

*Если x=1, то

y=1^3+1

y=1+1

y=2

ответ: y=2

4,7(56 оценок)
Новые ответы от MOGZ: Алгебра
logo
Вход Регистрация
Что ты хочешь узнать?
Спроси Mozg
Открыть лучший ответ